WS19322_WS19322_StnCAL7

setup
if (!nzchar(system.file(package = "librarian"))) {
  install.packages("librarian")
}

librarian::shelf(
  quiet = TRUE,
  readr, here, fs, ggplot2, glue, "jiho/castr", dplyr, oce, patchwork, purrr, tidyr
)

source(here("R/get_metadata_from_cast_id.R"))
metadata <- get_metadata_from_cast_id(params$cast_id)
station_id <- metadata$station_id
cruise_id <- metadata$cruise_id
create an oce CTD object
source(here::here("R/ctd_load_from_csv.R"))
cast <- ctd_load_from_csv(here::here(glue::glue(
  "data/01_raw/ctd/{cruise_id}/{params$cast_id}.csv"

  # TODO: include other_params (use the 1s from `use (from CTD data)` column and do not include 0s from that column in spreadsheet https://docs.google.com/spreadsheets/d/1uCxEmJRqErU-HCQiRQ1FpyiIqtNaGgMSBI0WvrtwBRU/edit?gid=137286311#gid=137286311 )
)))
WS19322_WS19322_StnCAL7.csv 
[1] "No additional parameters to add"
create an oce CTD object
# TODO: Include param here that specifies to handle QC flags. This should be done before converting to a OCE object. QC flag columns are listed in [this spreadsheet](https://docs.google.com/spreadsheets/d/1uCxEmJRqErU-HCQiRQ1FpyiIqtNaGgMSBI0WvrtwBRU/edit?gid=137286311#gid=137286311) and are not supposed to be included in the oce object. QC param values are : 
#   1 good
#   2 +/- 3*std_dev
#   4 +/- 5*std_dev
#   9 missing
# Data column should be set to NA if corresponding QC column has value greater than threshold (recommended threshold is 5*std_dev).
# Will need to loop through *_qc columns.

# TODO: drop spikes (how? low-pass?).

# TODO: combine replicate sensors (eg temp1 temp2).

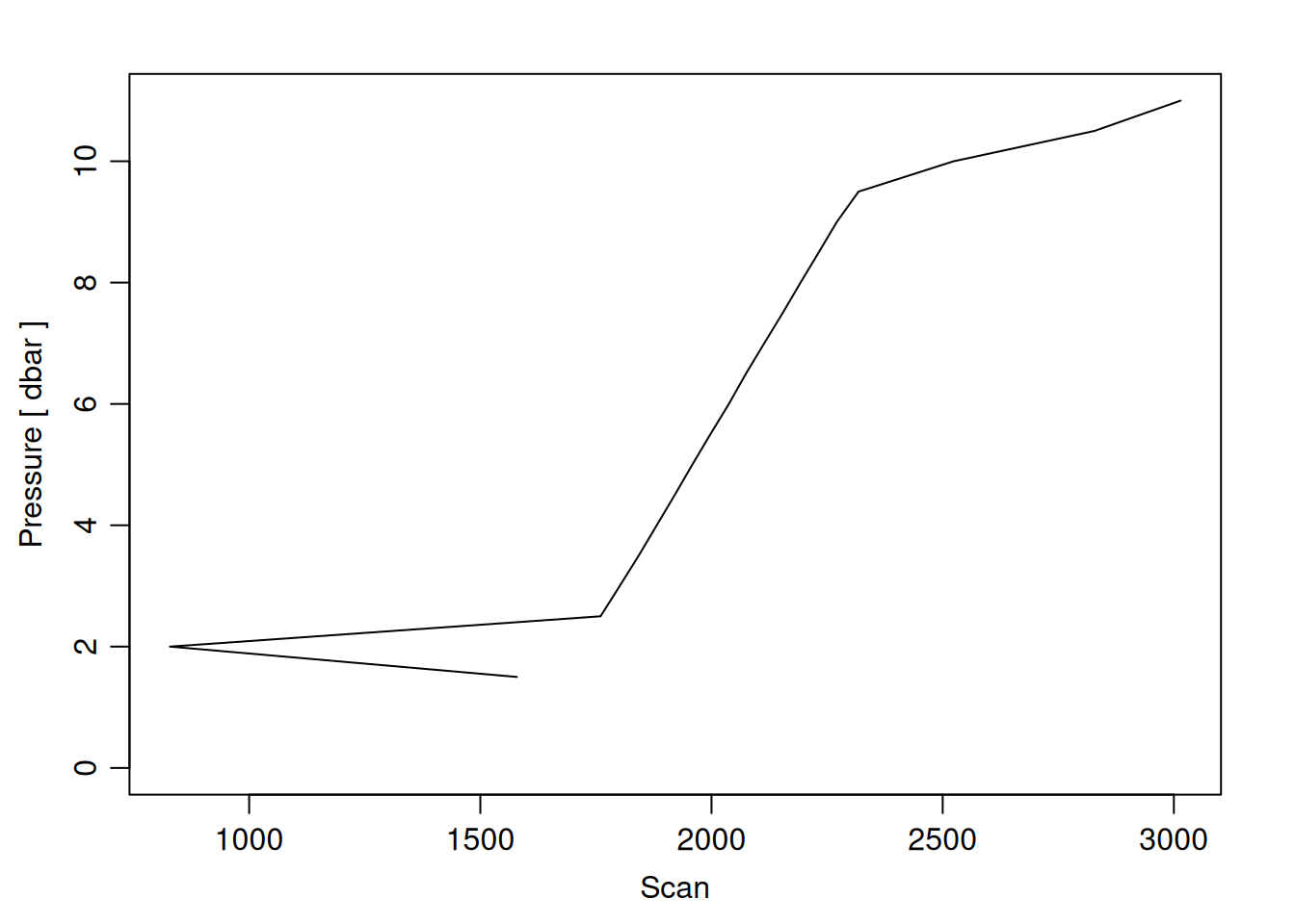
before cleaning

Show scans before cleaning.
print(glue("=== station: {cast@metadata$station[1]}"))
=== station: CAL7
Show scans before cleaning.
print(glue("# scans: {length(cast@data$scan)}"))
# scans: 3120
Show scans before cleaning.
plotScan(cast)

after cleaning

Clean, export, show scans after cleaning.
tryCatch({
  
  trimmed_cast <- ctdTrim(cast)
  decimated_cast <- ctdDecimate(trimmed_cast, p = 0.5)

  # plotting can cause the xlim failure
  plotScan(decimated_cast)

  # === export ===
  cast_df <- as.data.frame(decimated_cast@data)

  # Add metadata
  cast_df <- mutate(
    cast_df,
    station = station_id,
    cruise_id = cruise_id
  )

  # drop NA rows left by cleaning
  cast_df <- subset(cast_df, !is.na(scan))

  # create folder if doesn't exist
  clean_data_loc <- here::here("data/02_clean")
  try(fs::dir_create(clean_data_loc))

  # save ctd to .csv
  write.csv(cast_df, glue("{clean_data_loc}/{params$cast_id}.csv"))

}, error = function(e) {

  cat("\n=== CTD PROCESSING ERROR ===\n")
  cat("Cast ID:", params$cast_id, "\n")
  cat("Error message:\n", conditionMessage(e), "\n\n")

  # Safely inspect objects that might or might not exist when the error happened
  if (exists("decimated_cast")) {
    df <- try(as.data.frame(decimated_cast@data), silent = TRUE)
    if (!inherits(df, "try-error")) {

      cat("Dataframe columns:\n")
      print(names(df))

      cat("\nSummary of key columns (scan, pressure, temperature, salinity if present):\n")
      known_cols <- intersect(c("scan", "pressure", "temp", "temperature", "salinity", "conductivity"), names(df))
      print(summary(df[known_cols], digits = 3))

      cat("\nHead of dataframe:\n")
      print(head(df))
    } else {
      cat("Could not extract dataframe from decimated_cast.\n")
    }
  } else {
    cat("decimated_cast was never created before the error.\n")
  }

  cat("\n=== END ERROR DEBUG INFO ===\n\n")
})

Plot Final Profile
tryCatch({
  oce::plotProfile(decimated_cast)
  # TODO: plot chl & do (prereq handle other_params in ctd_load_from_csv call above)
  
}, error = function(e) {
  print("decimated cast not found")
})