MBON Cruise CTD Reports
Station Name Alignment Check
CTD Reports
Source Code on GitHub
CTD Reports
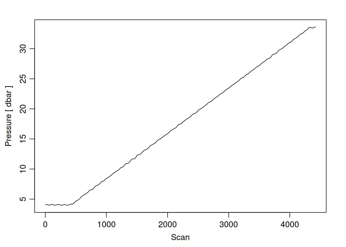
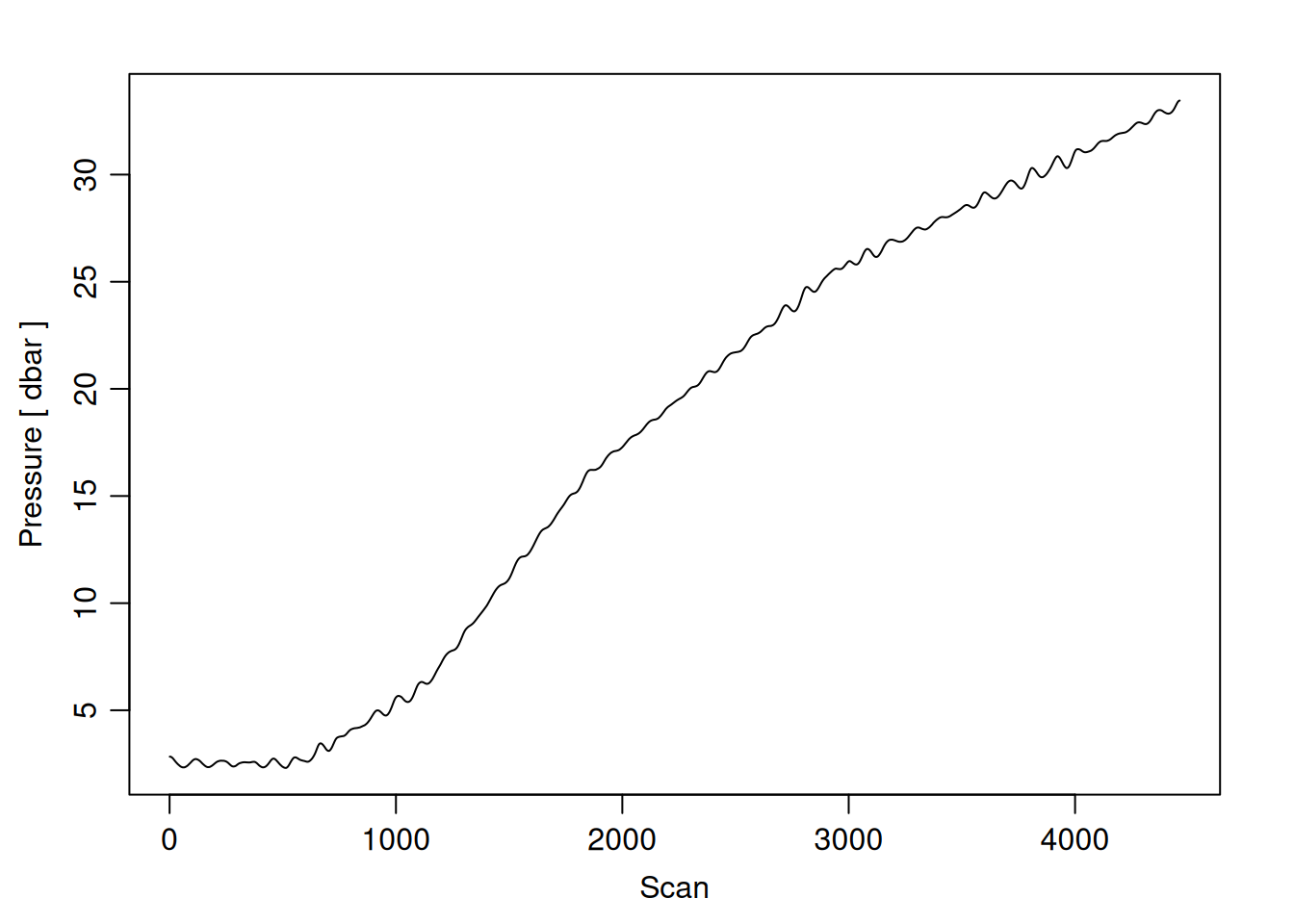
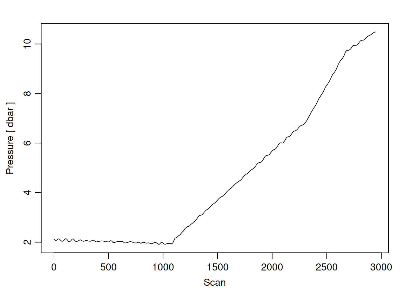
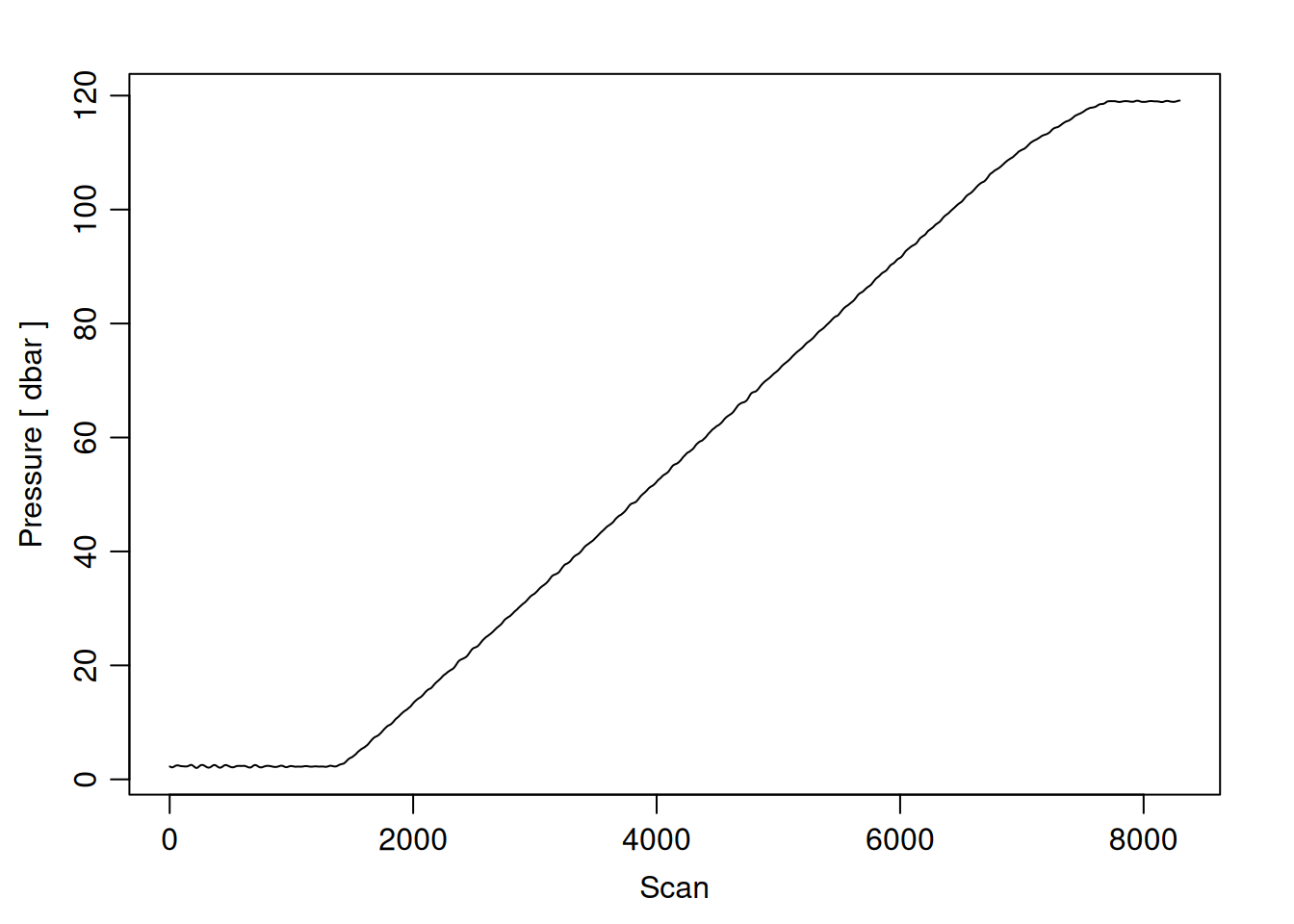
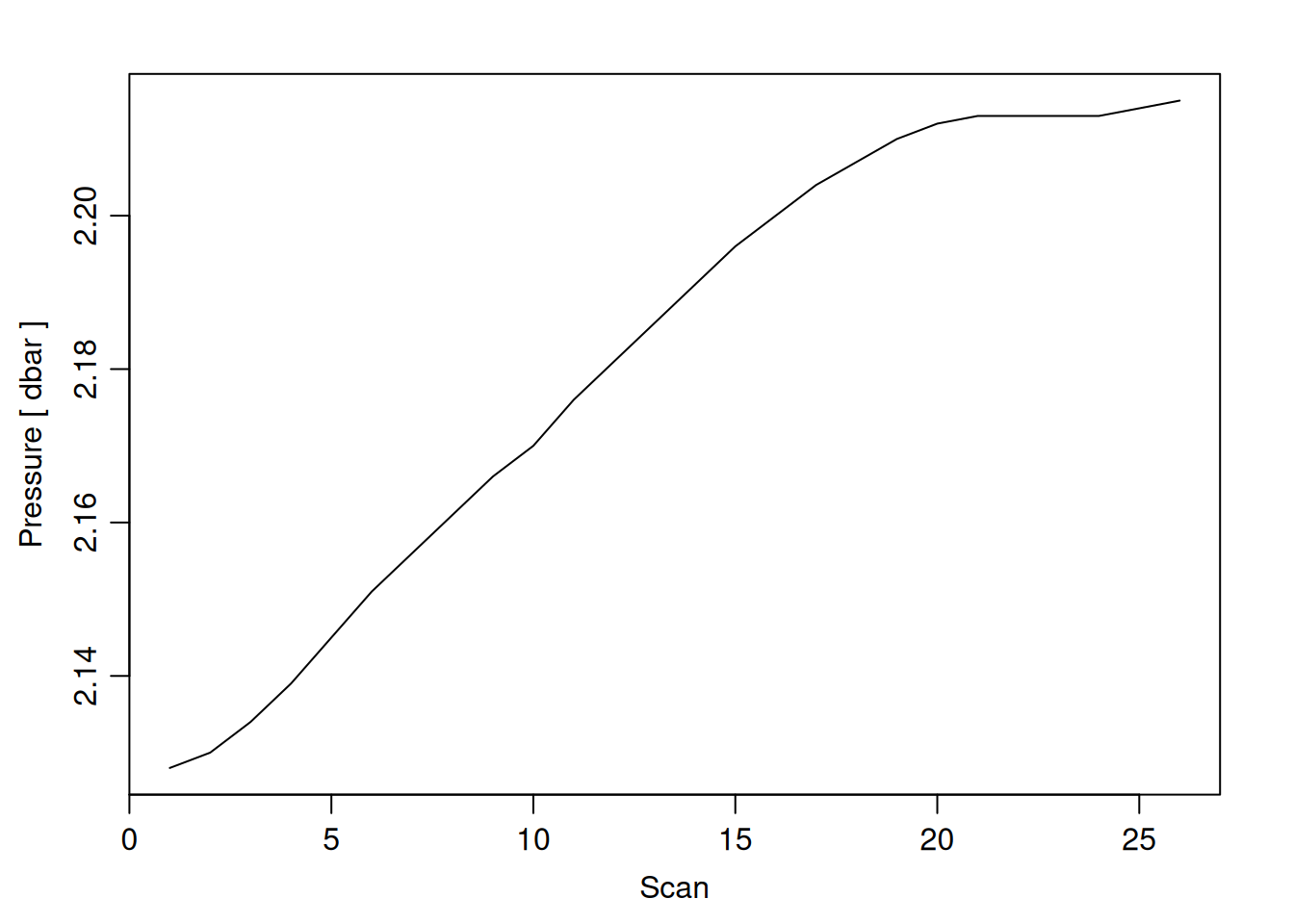
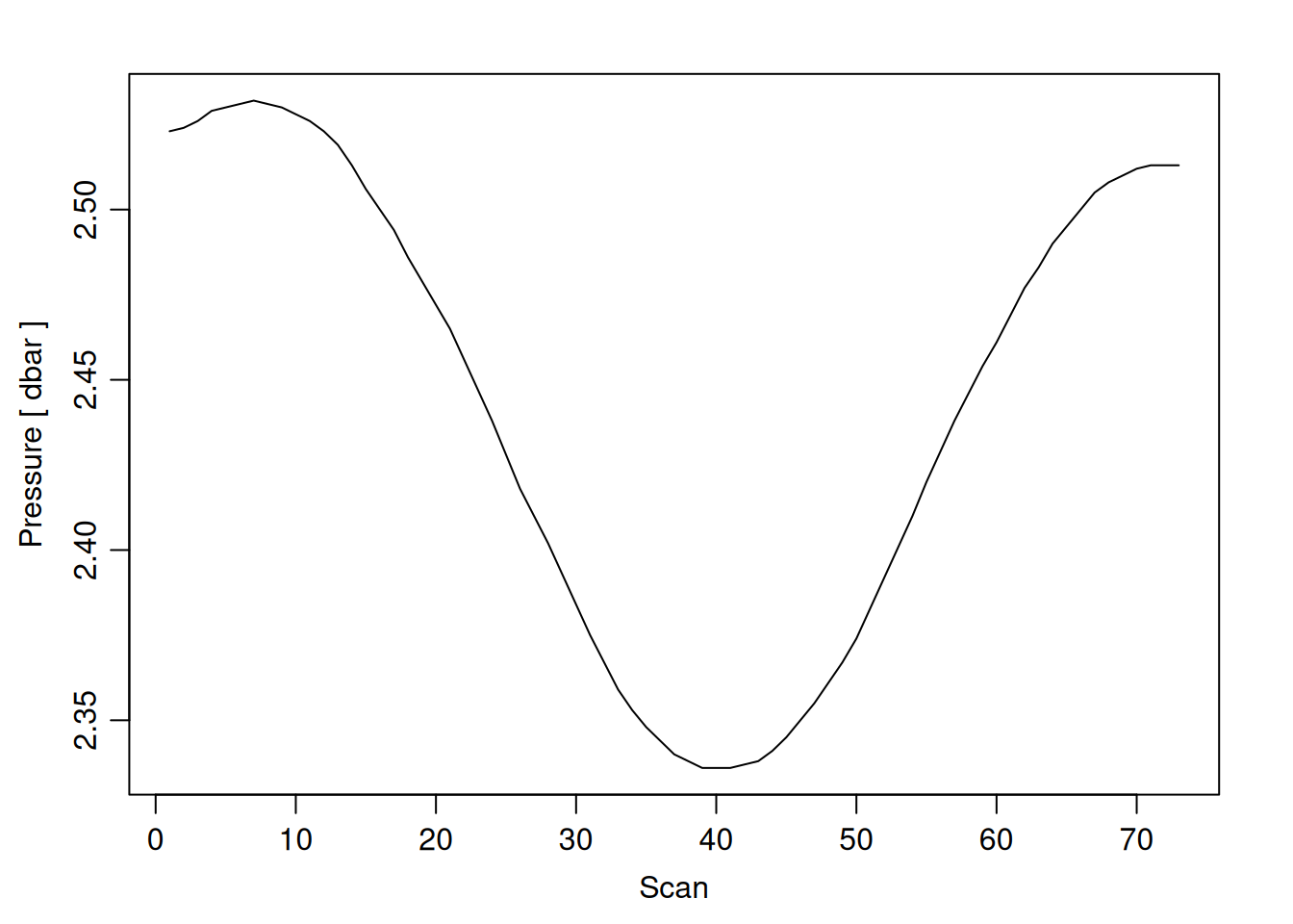
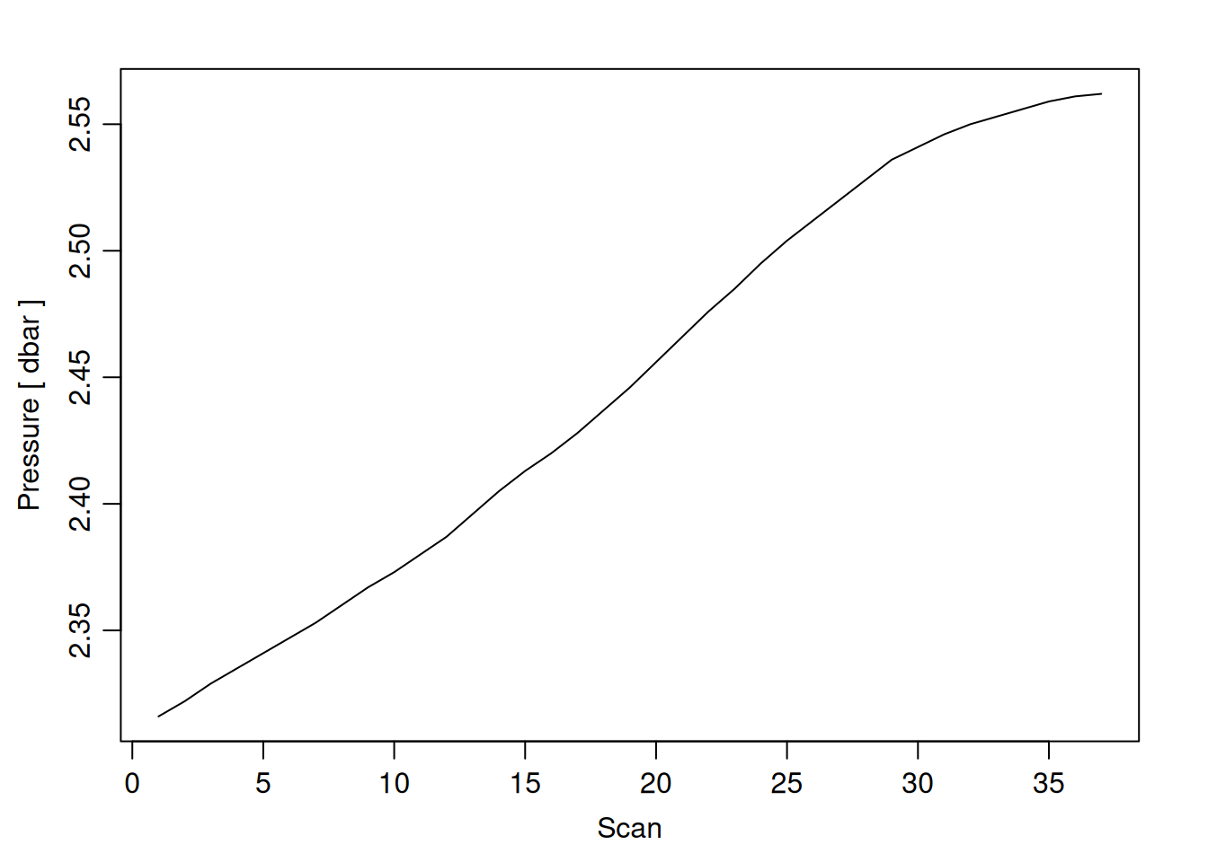
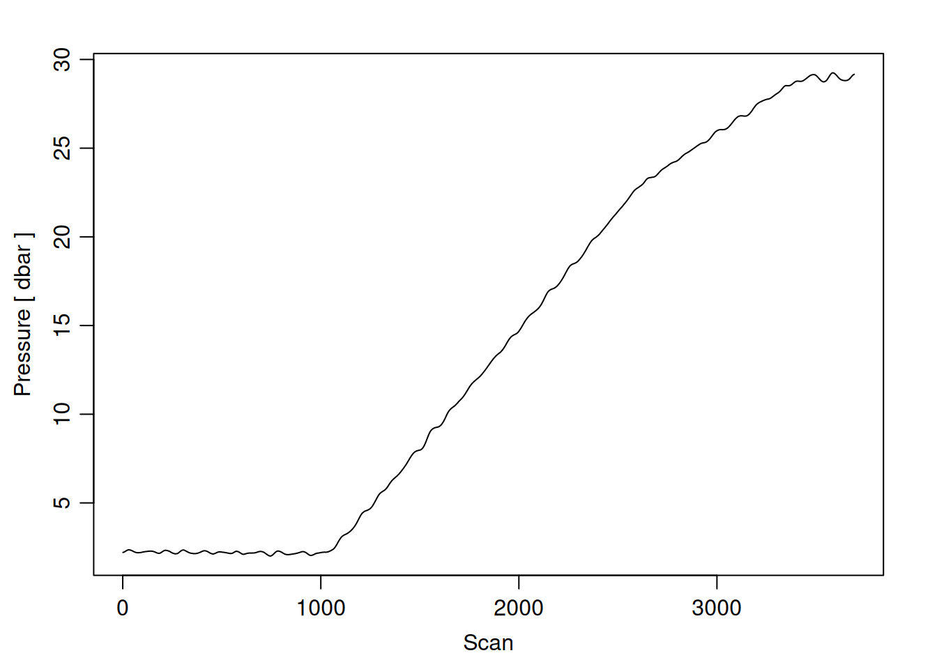
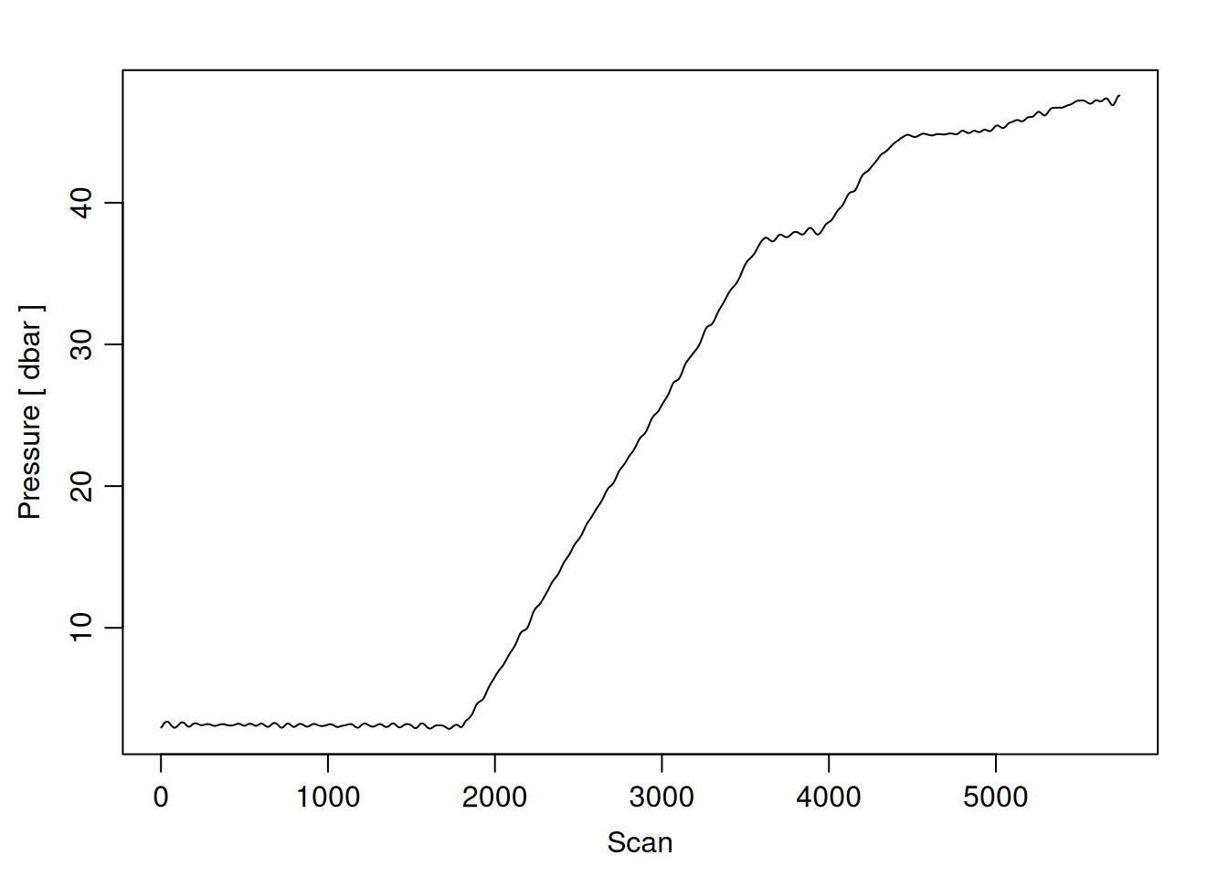
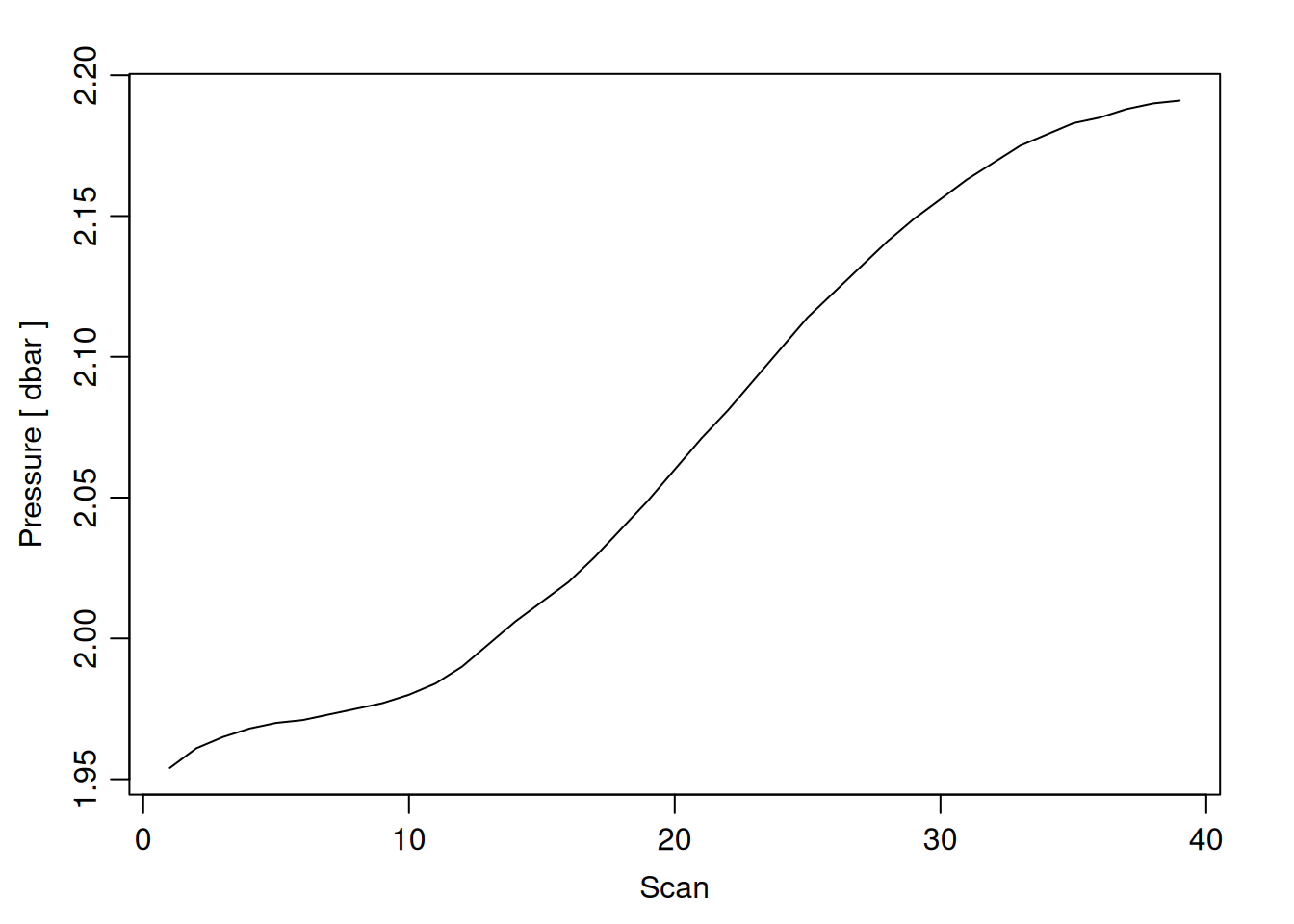
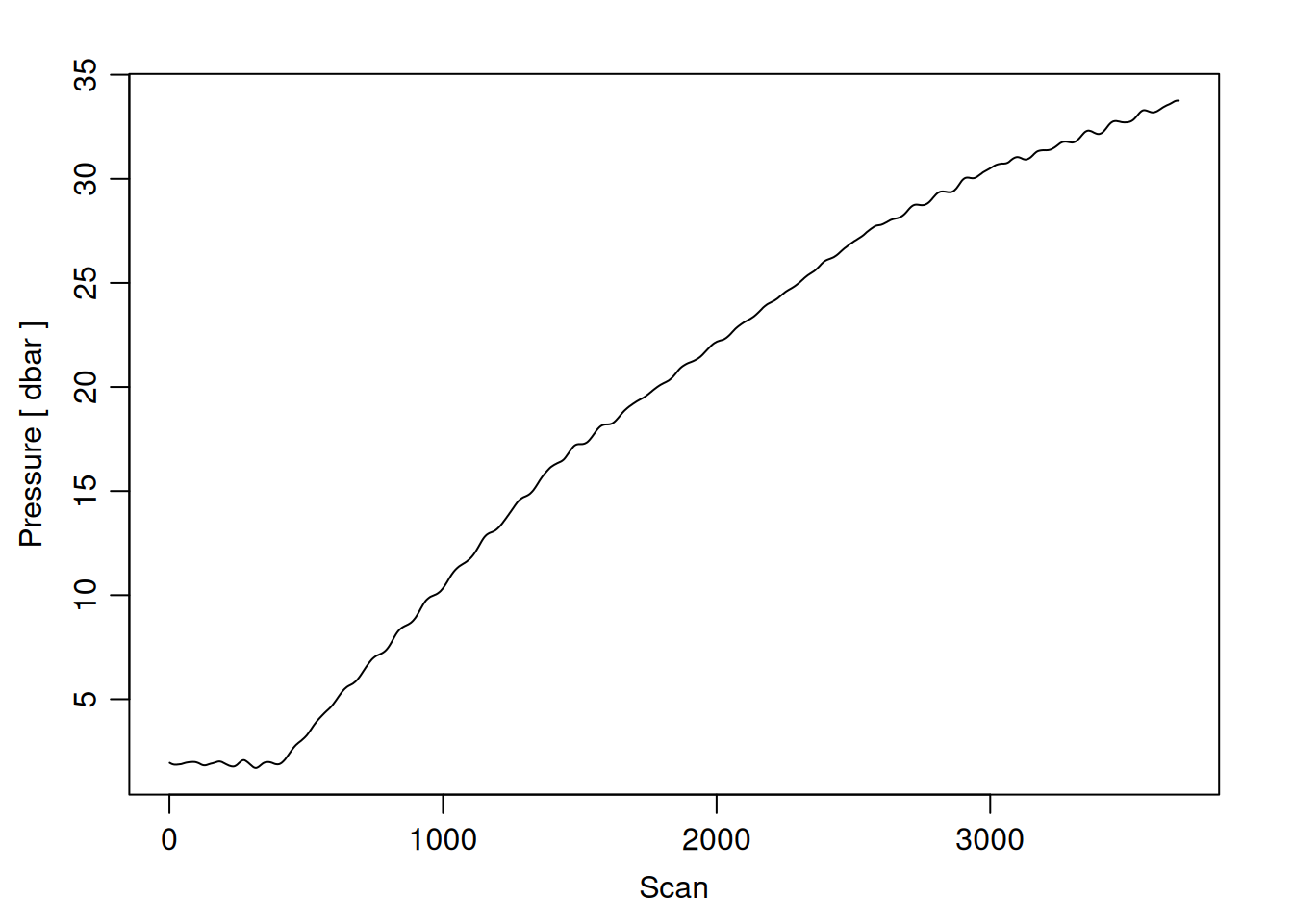
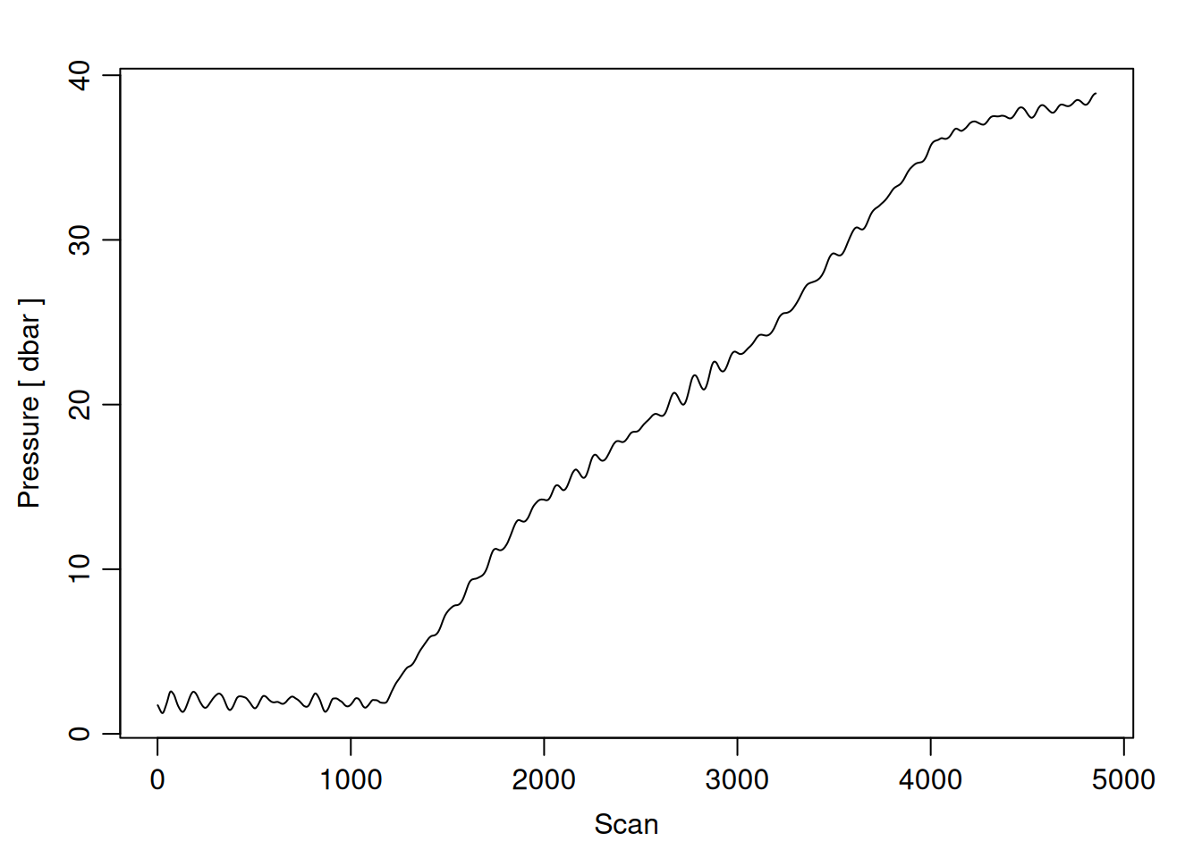
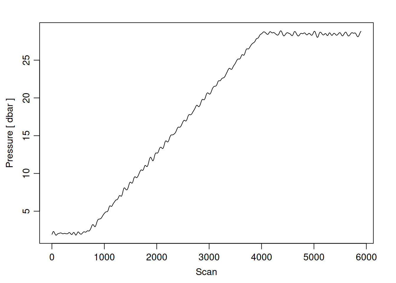
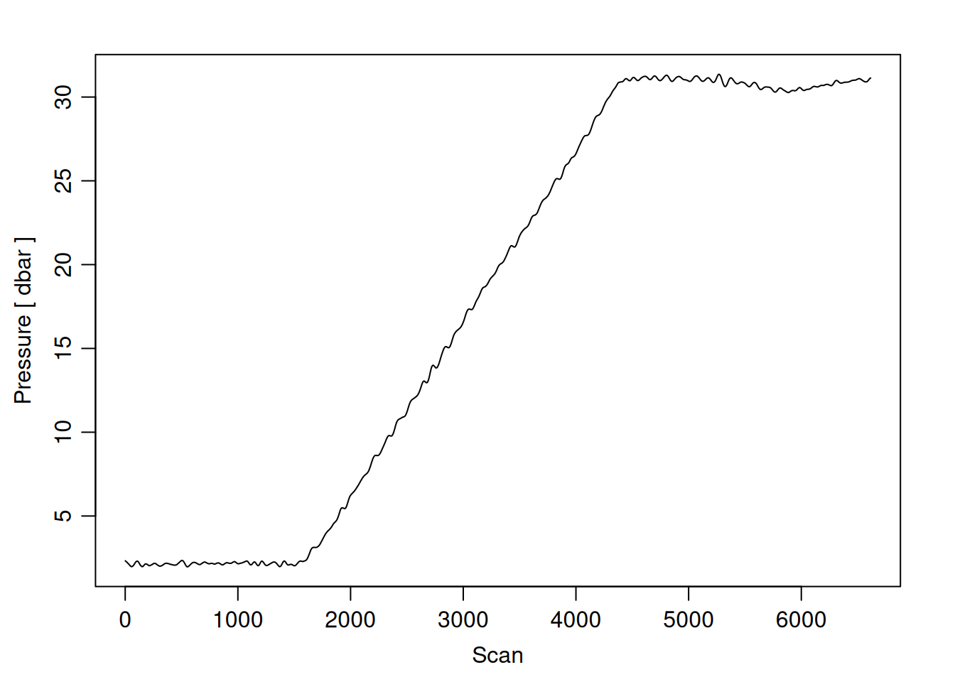
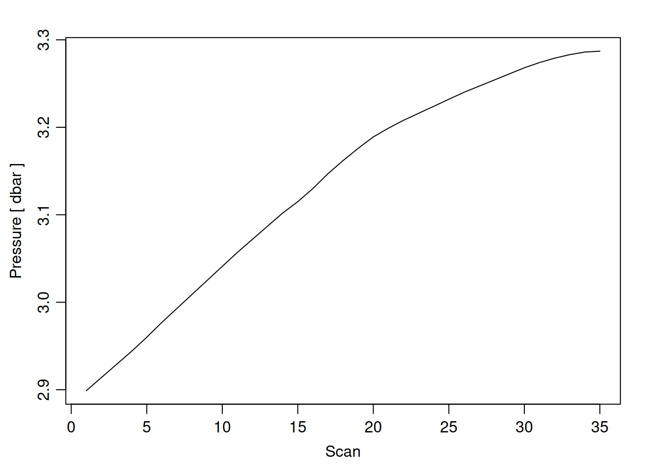
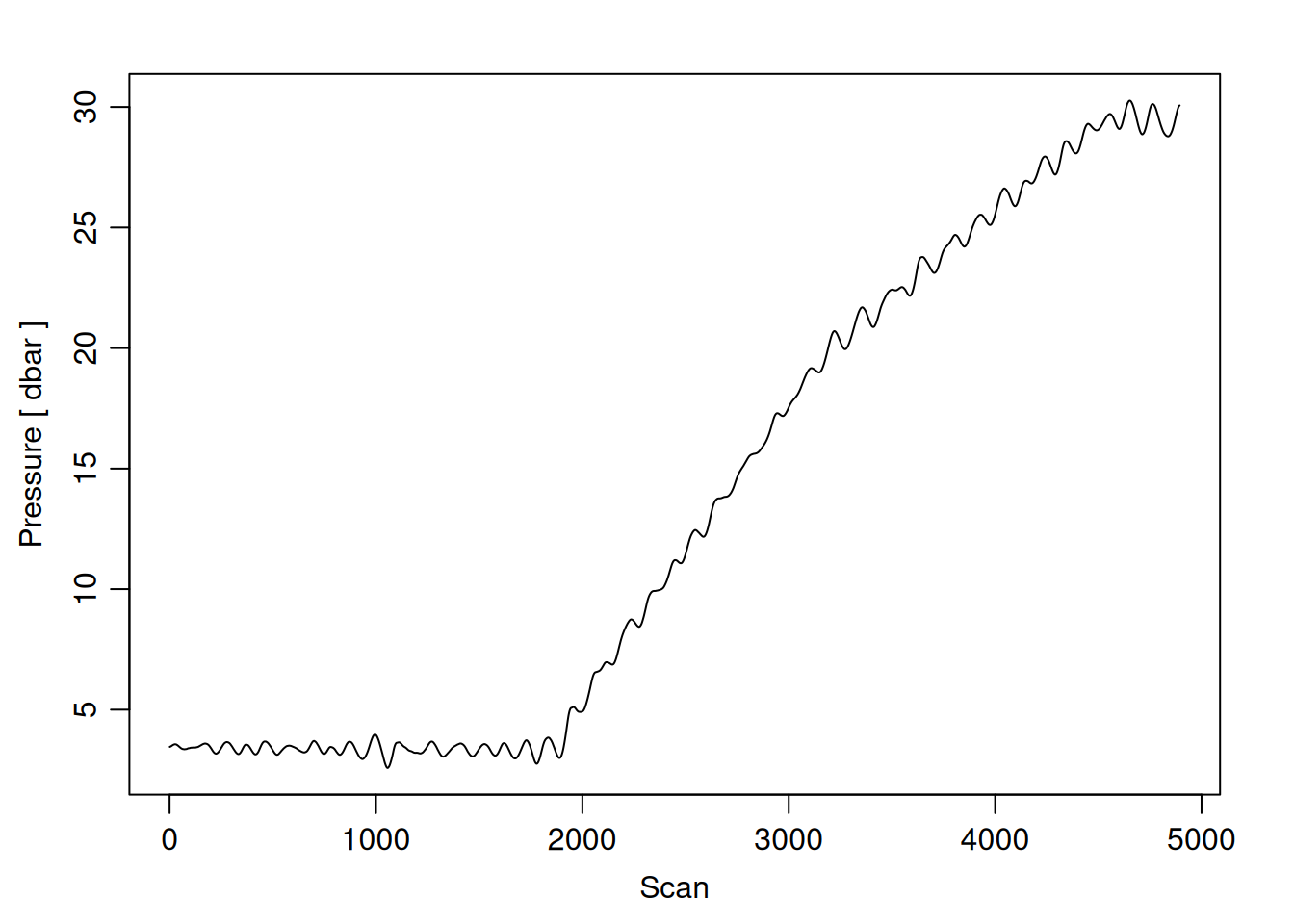
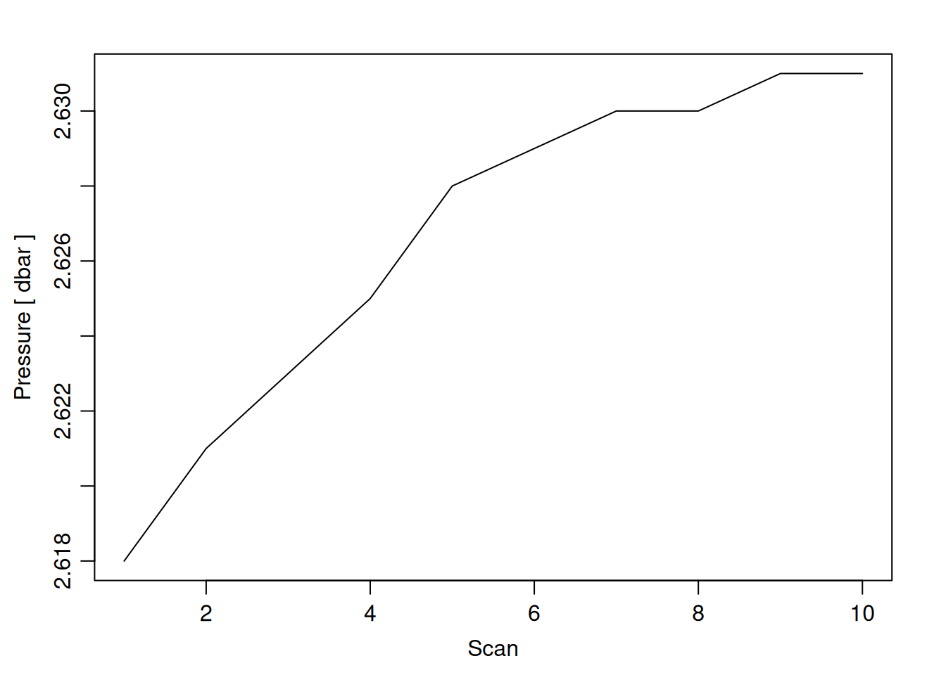
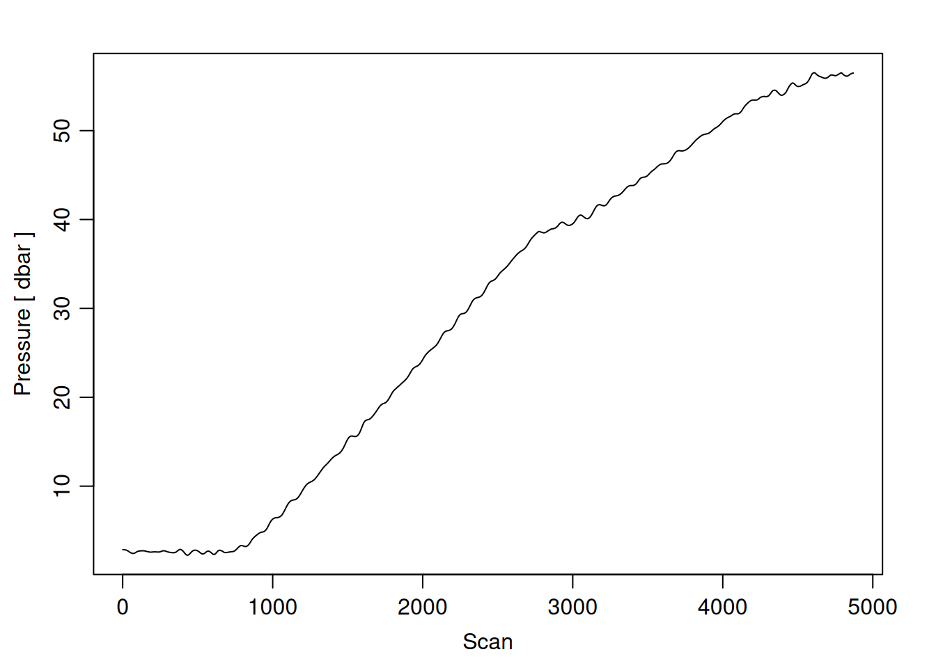
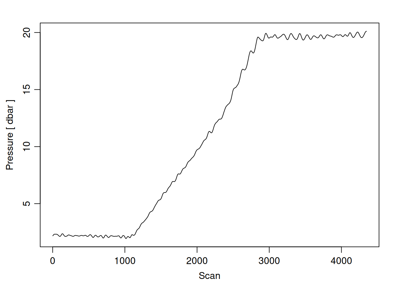
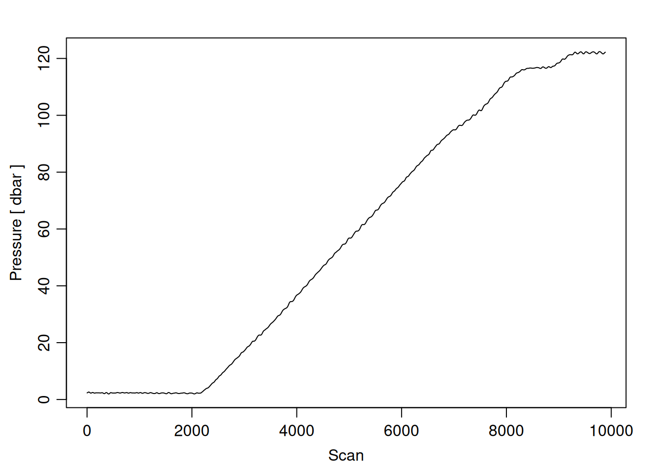
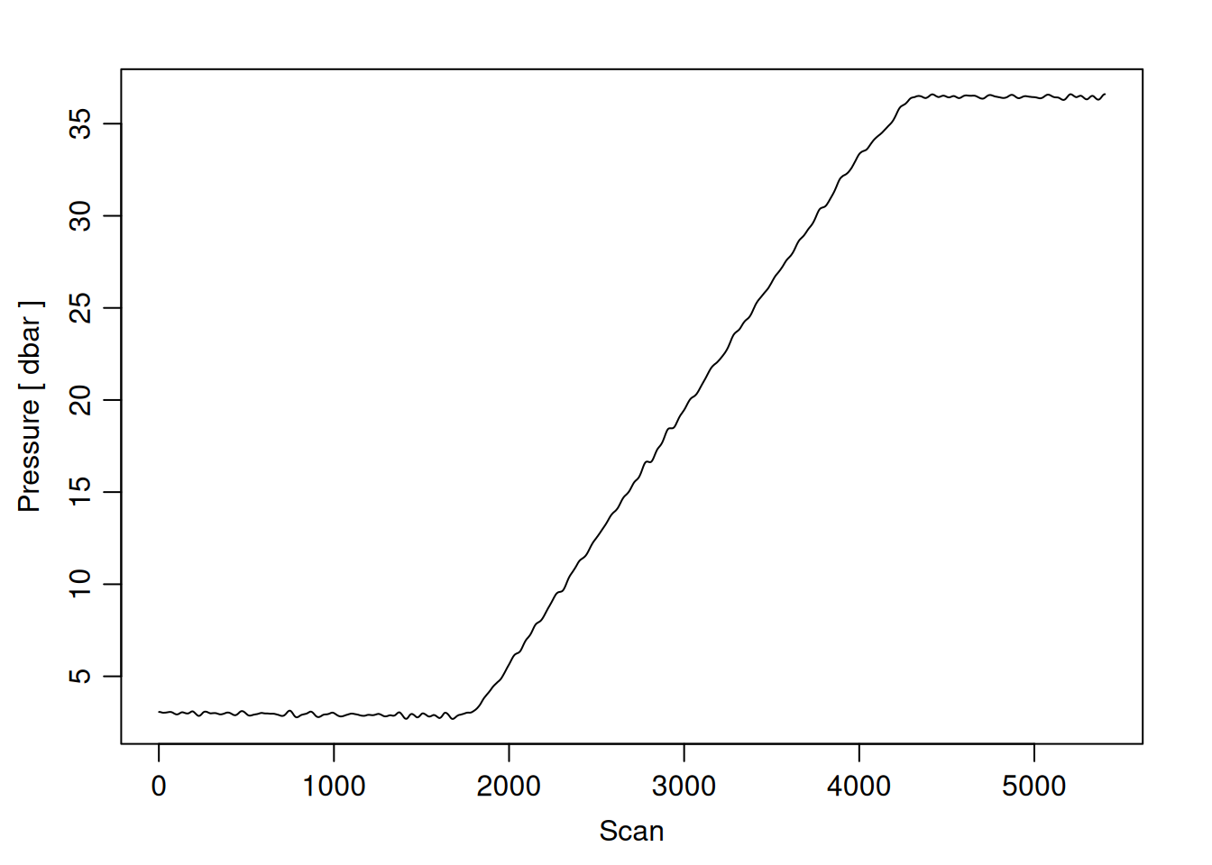
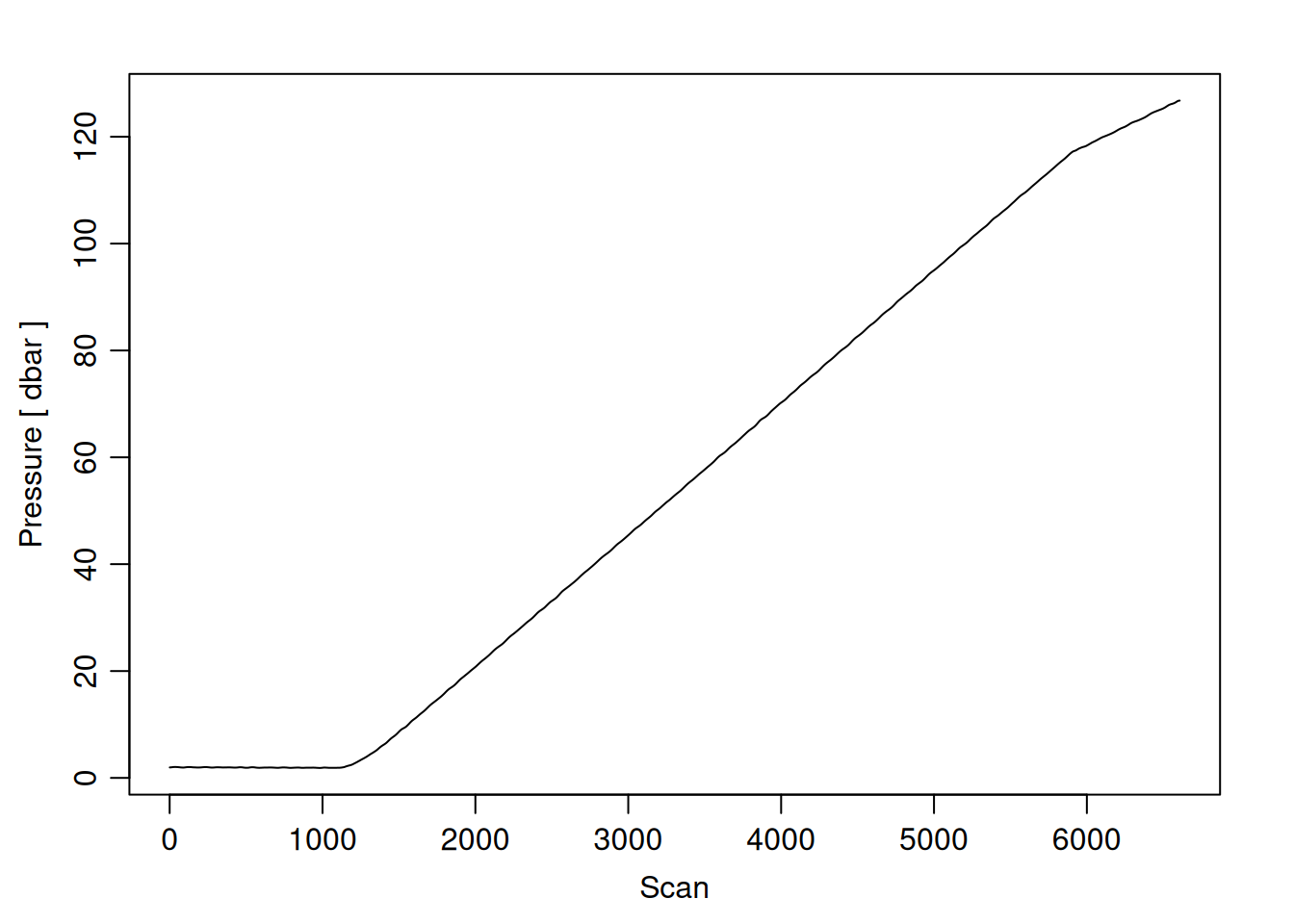
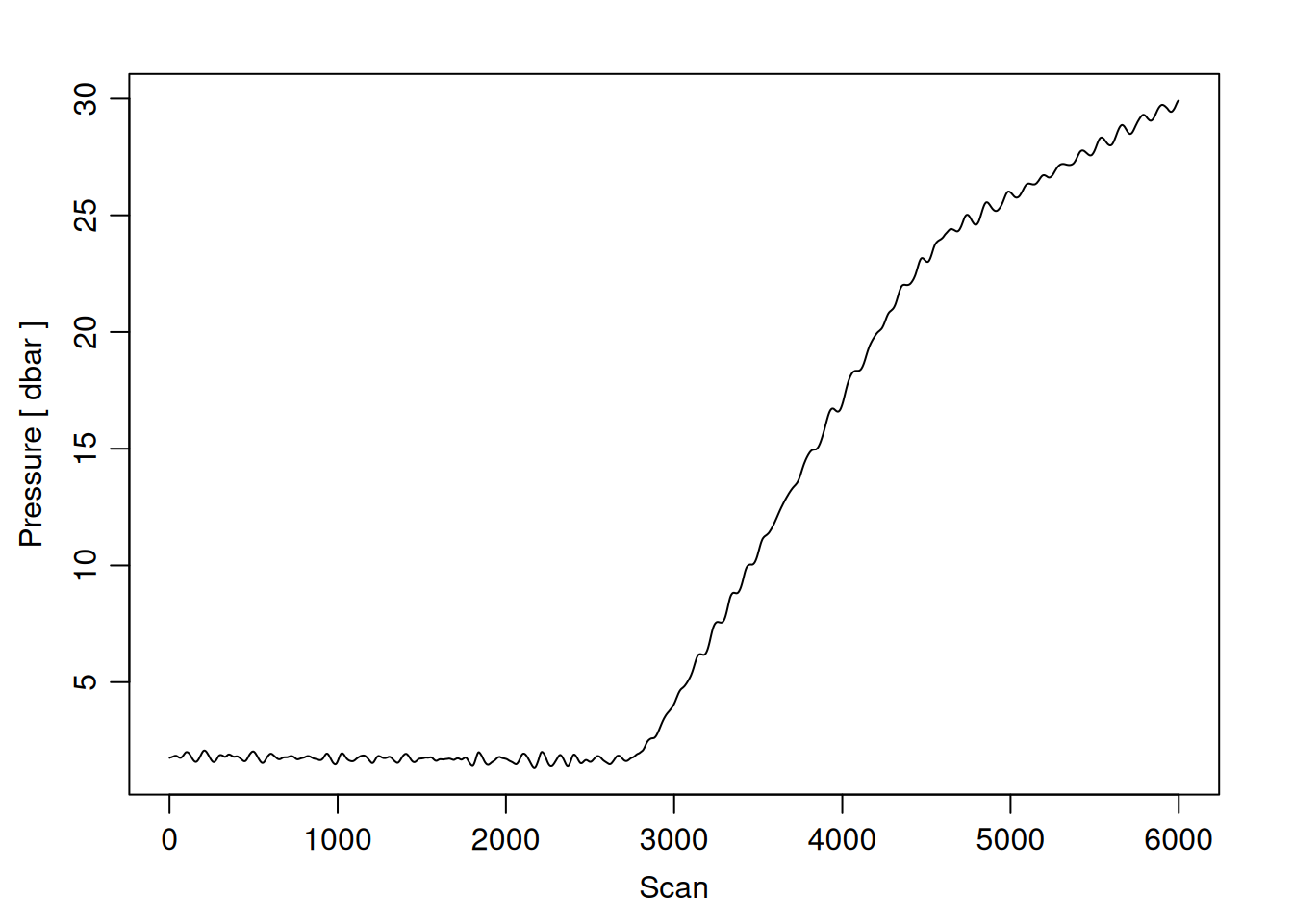
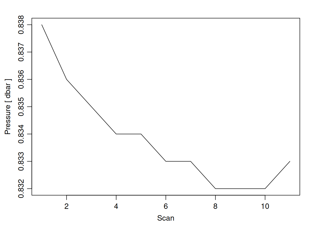
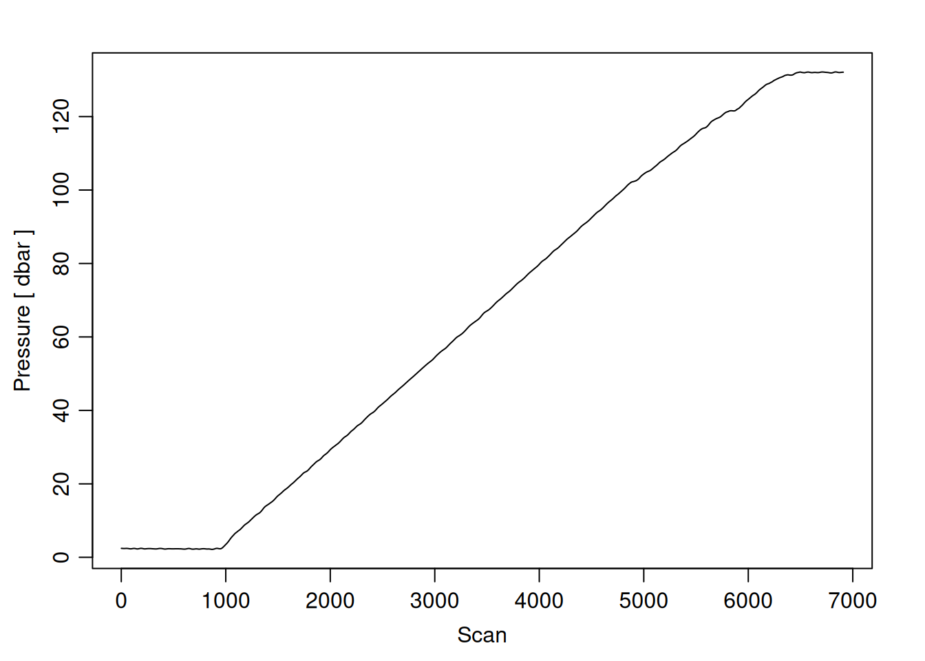
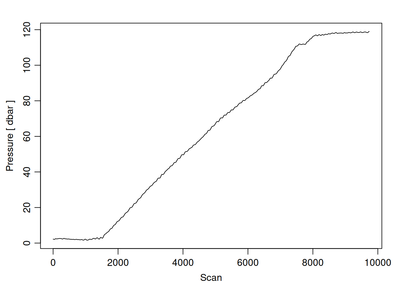
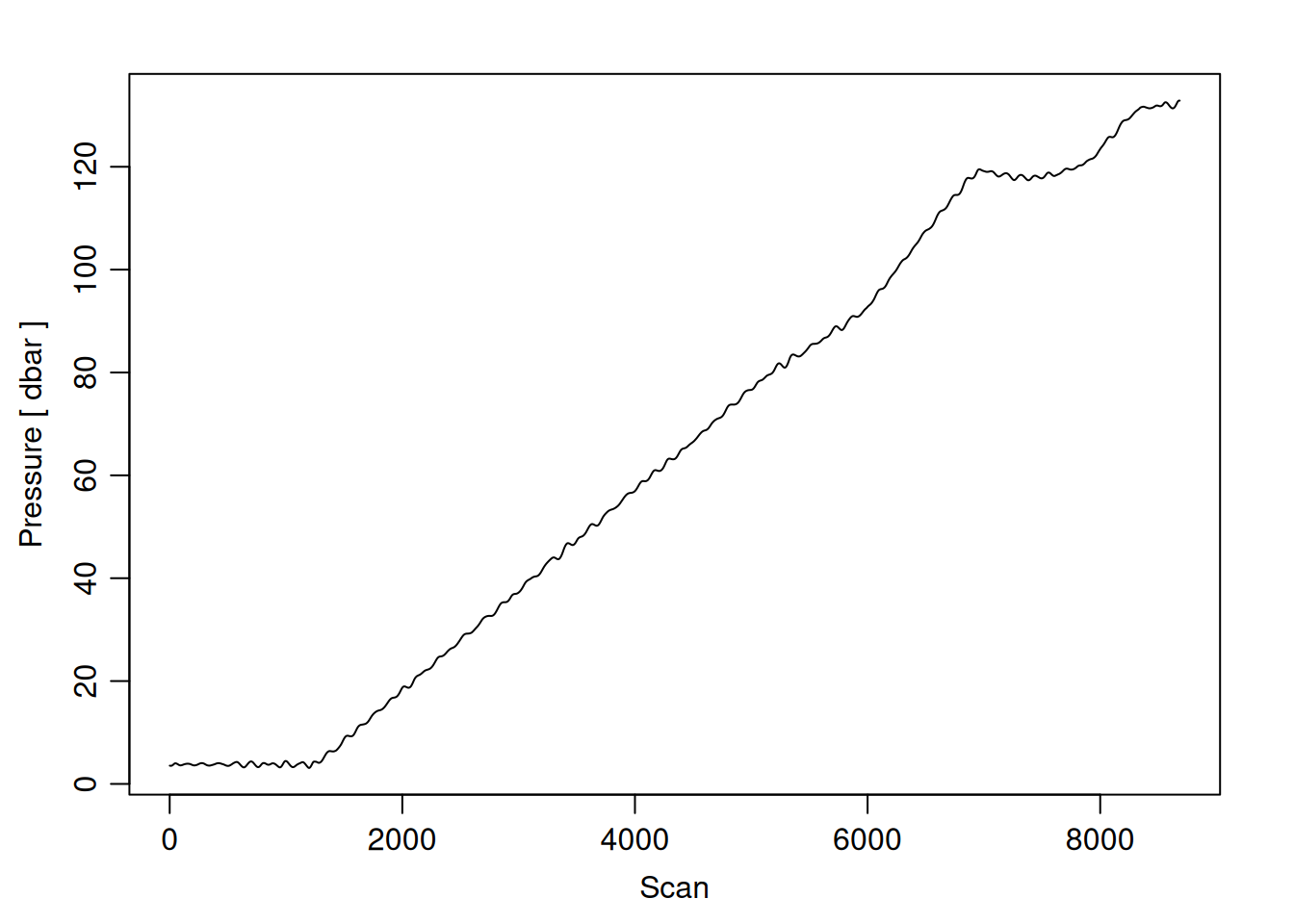
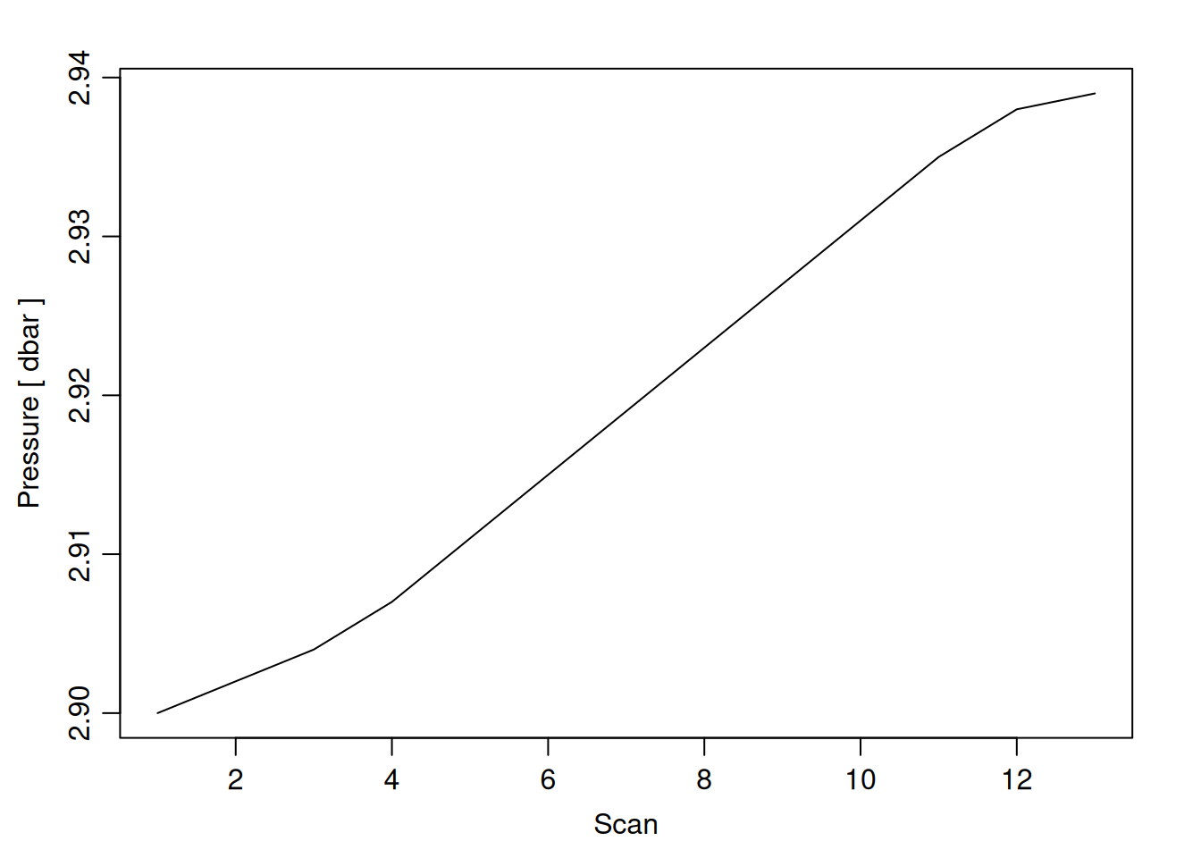
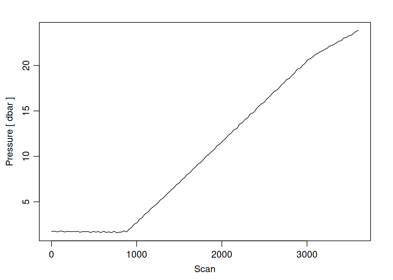
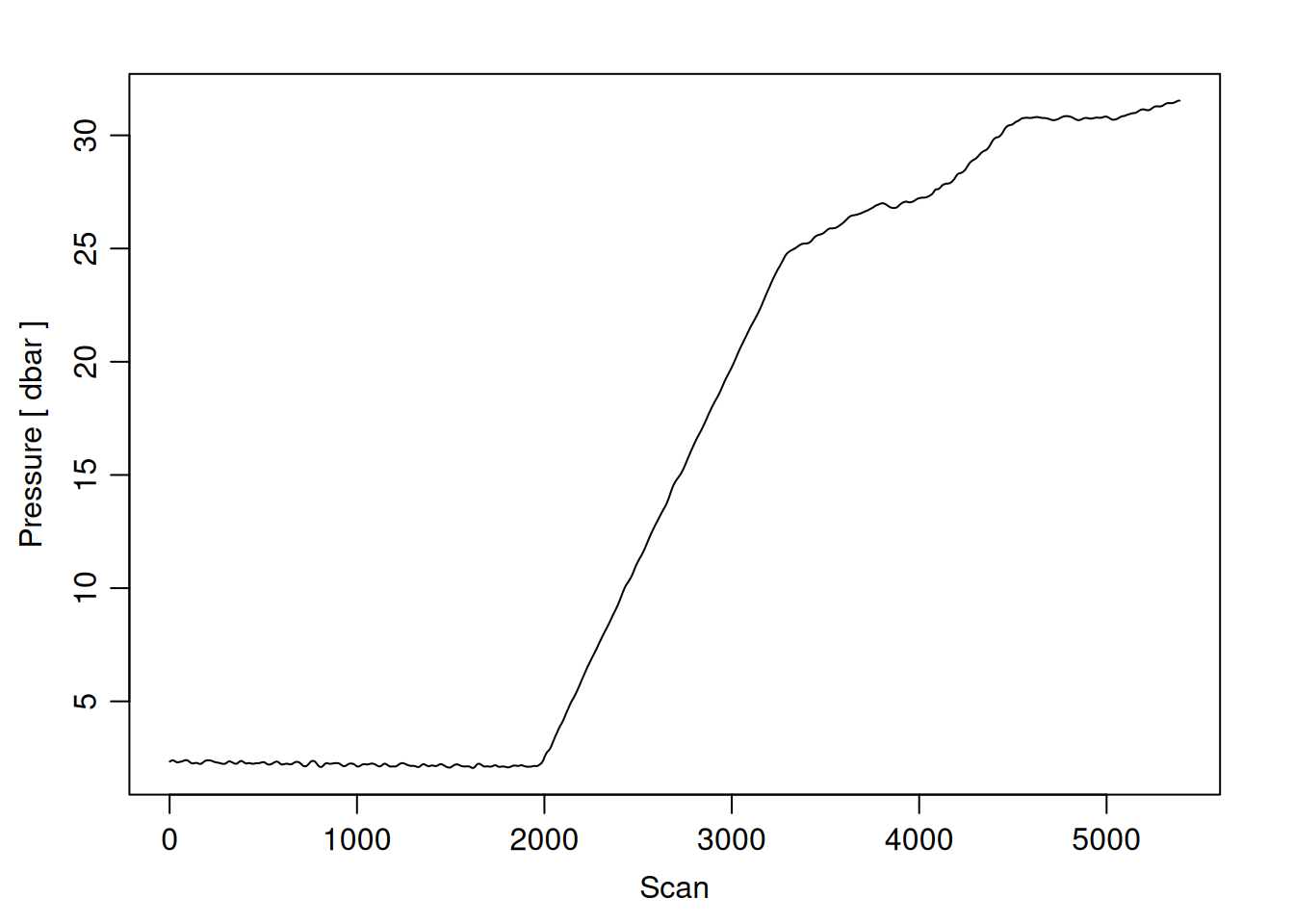
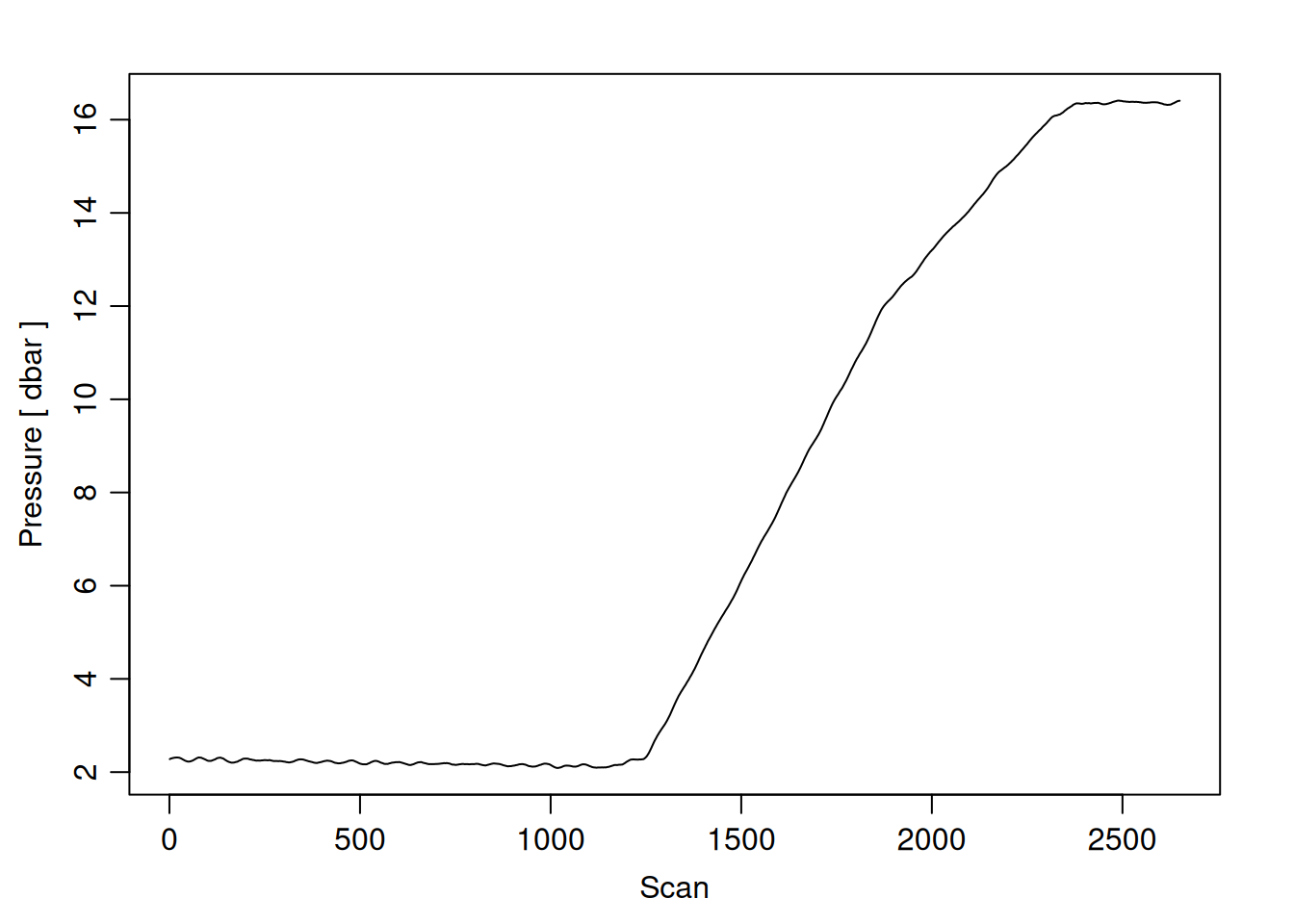
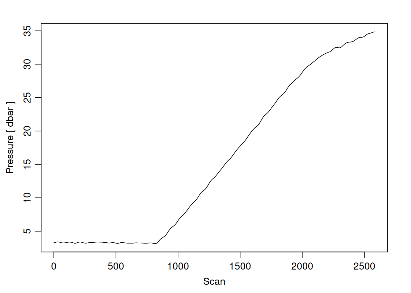
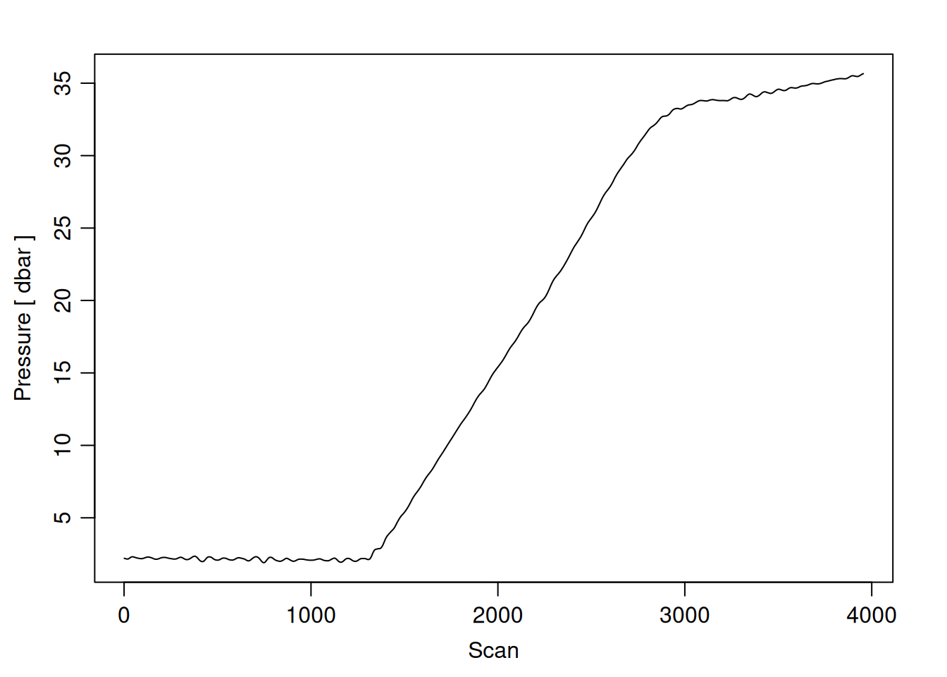
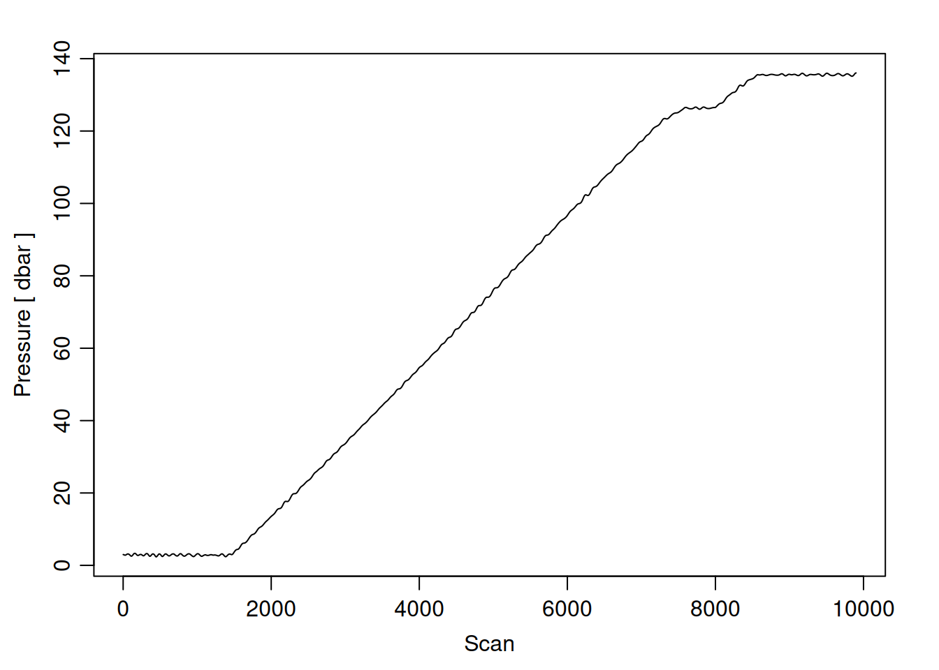
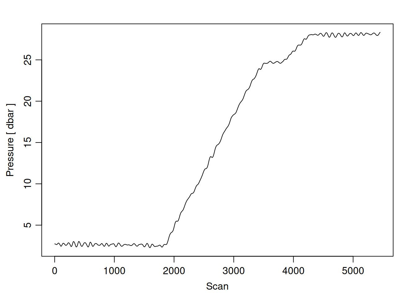
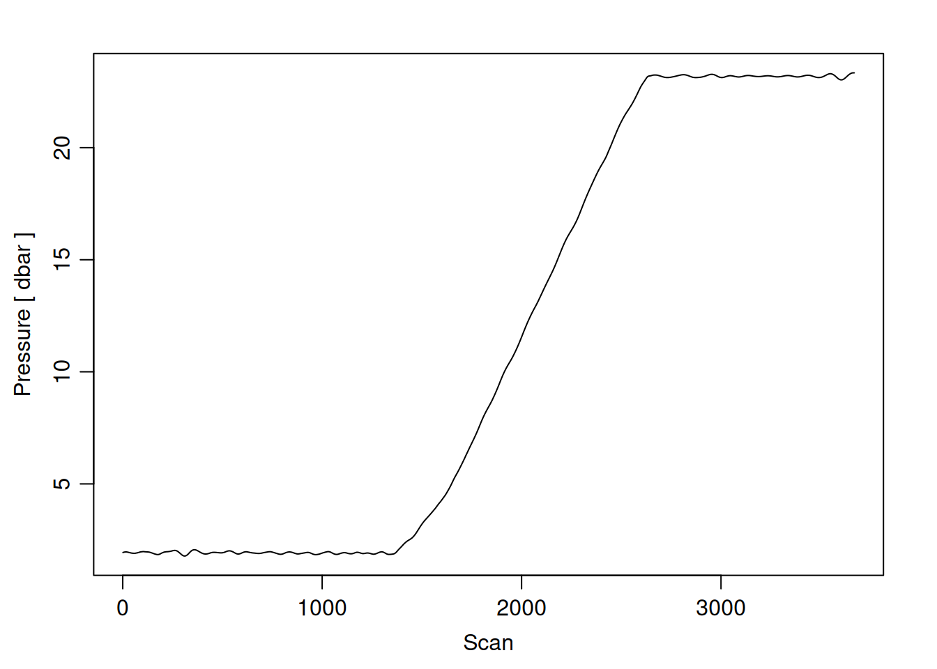
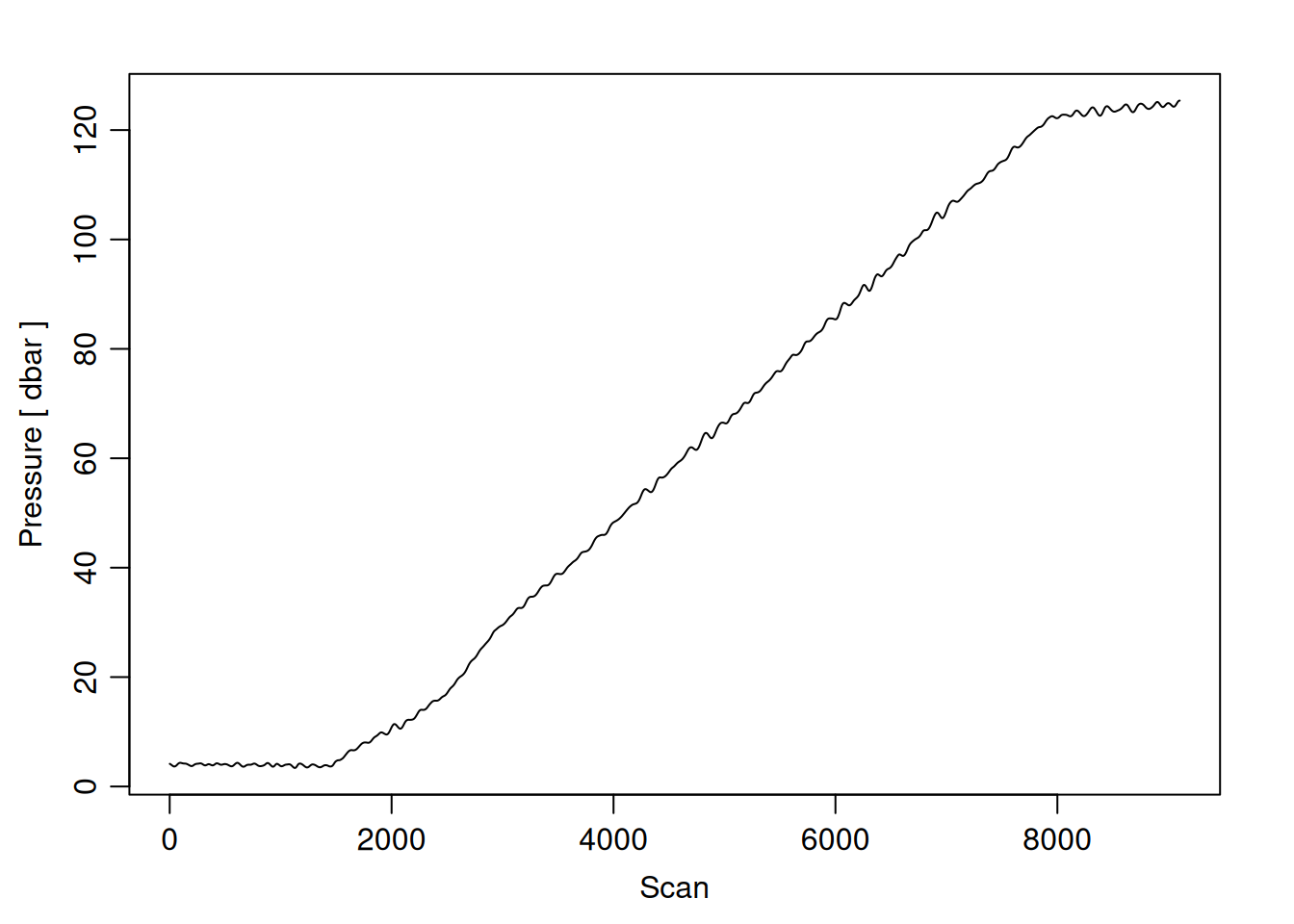
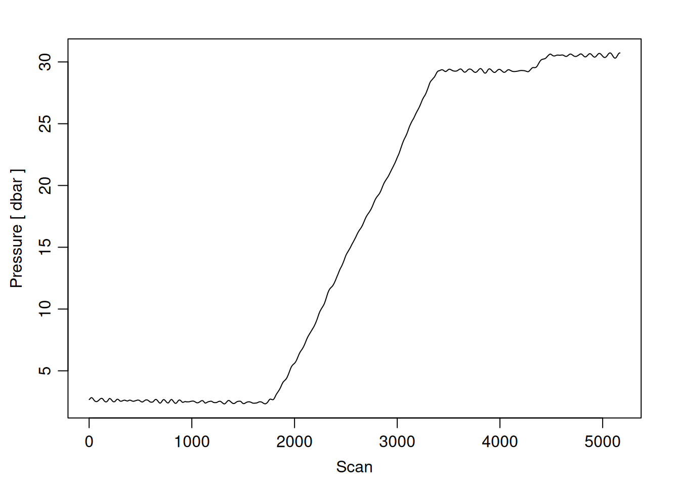
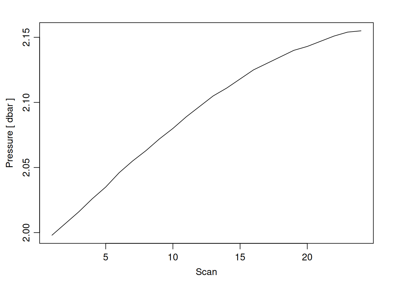
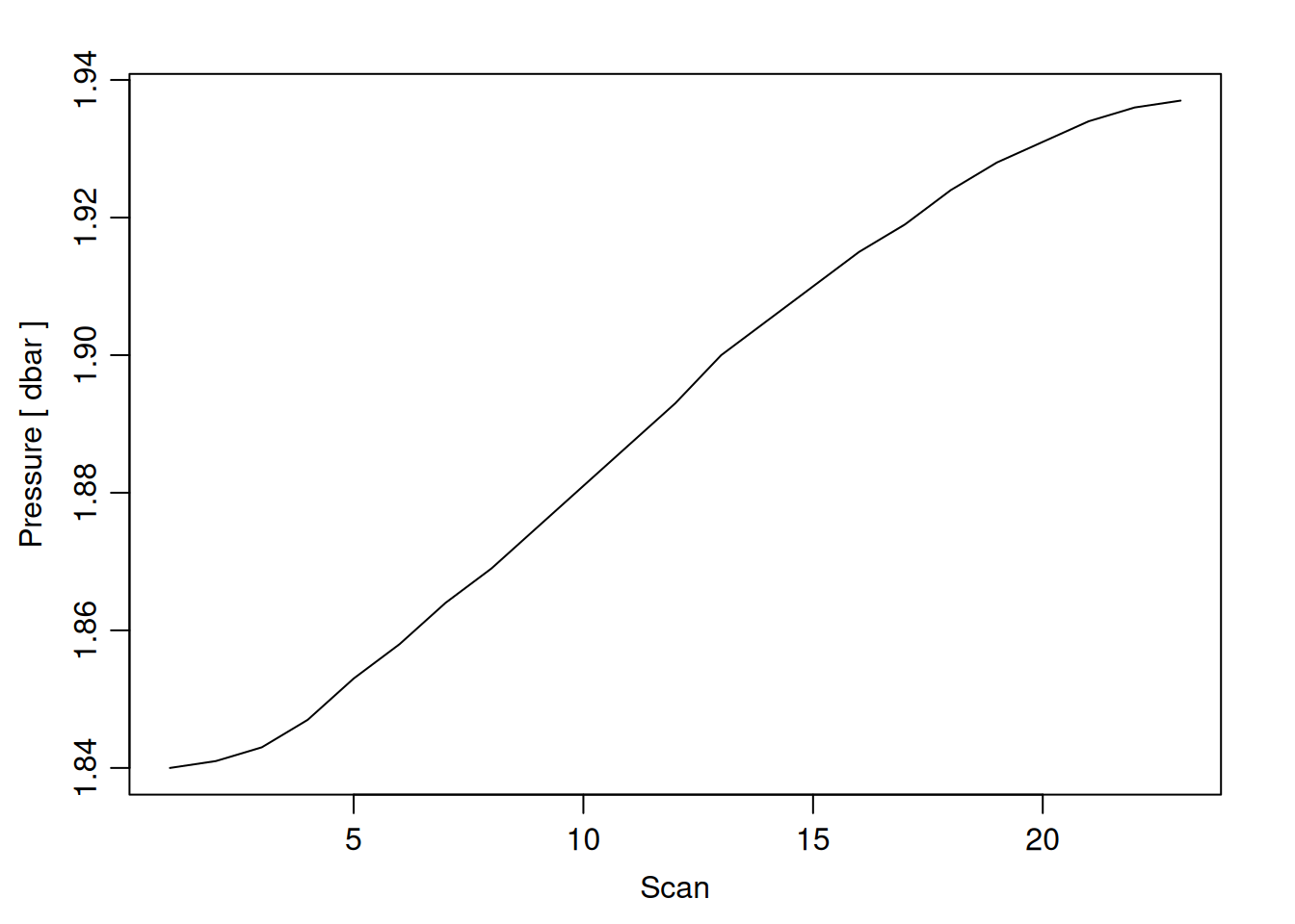
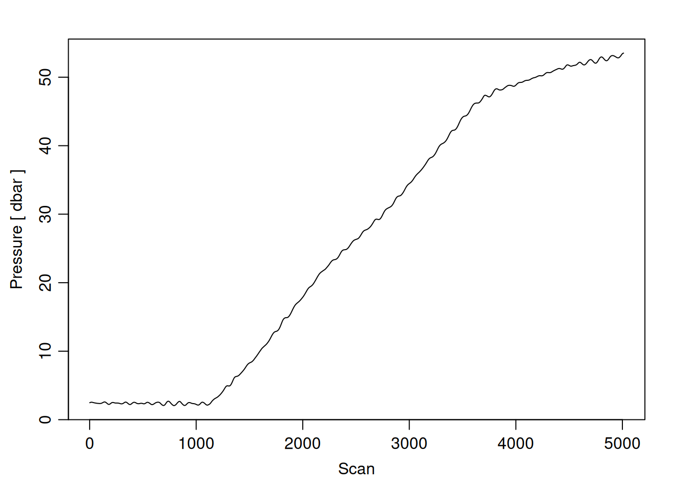
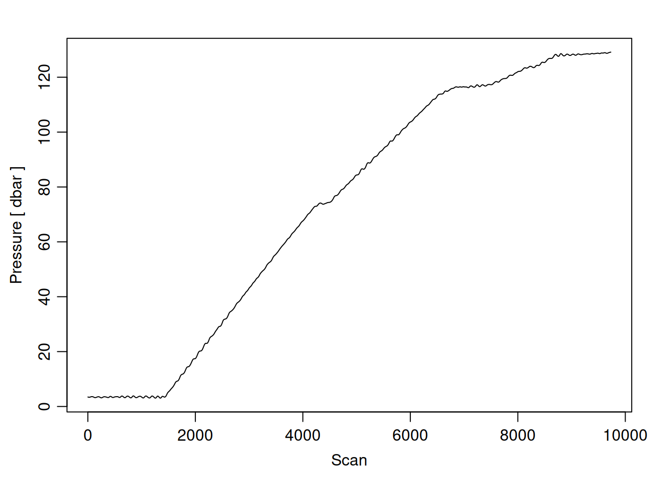
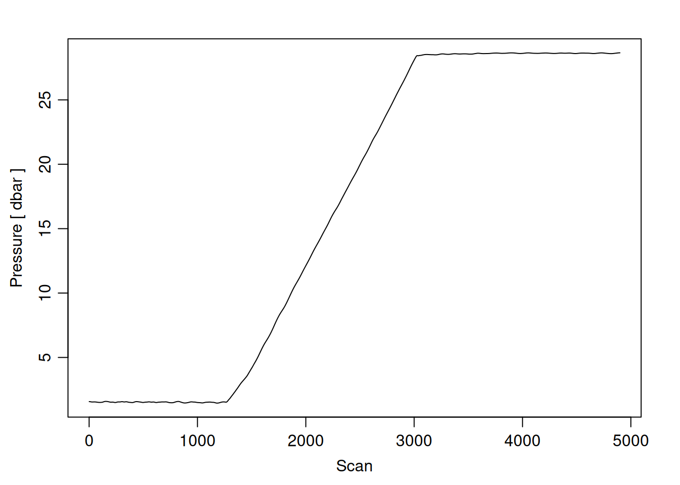
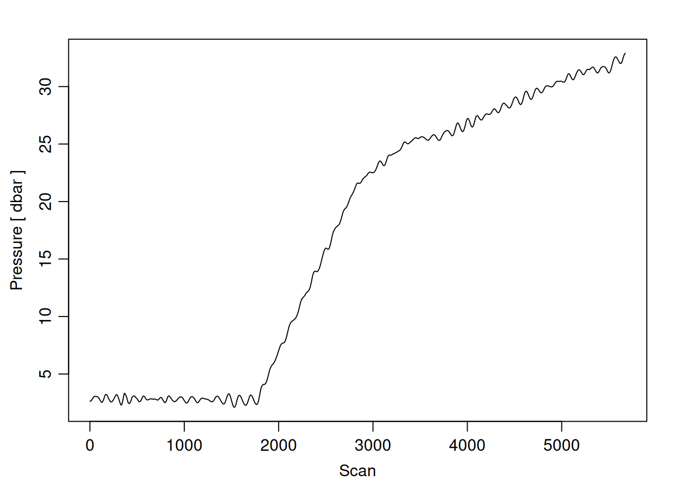
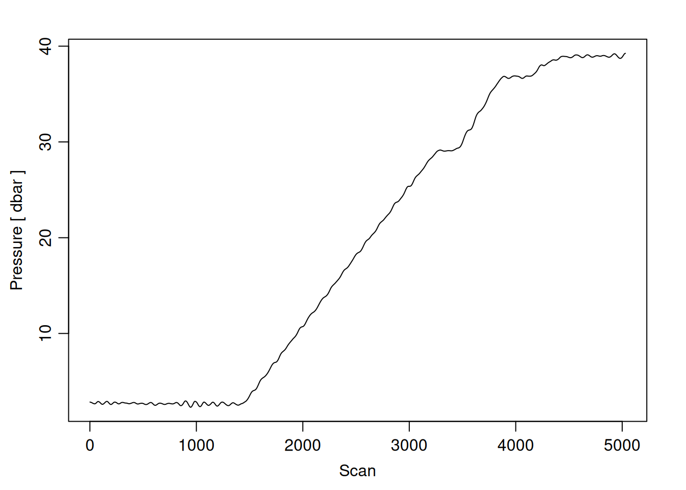
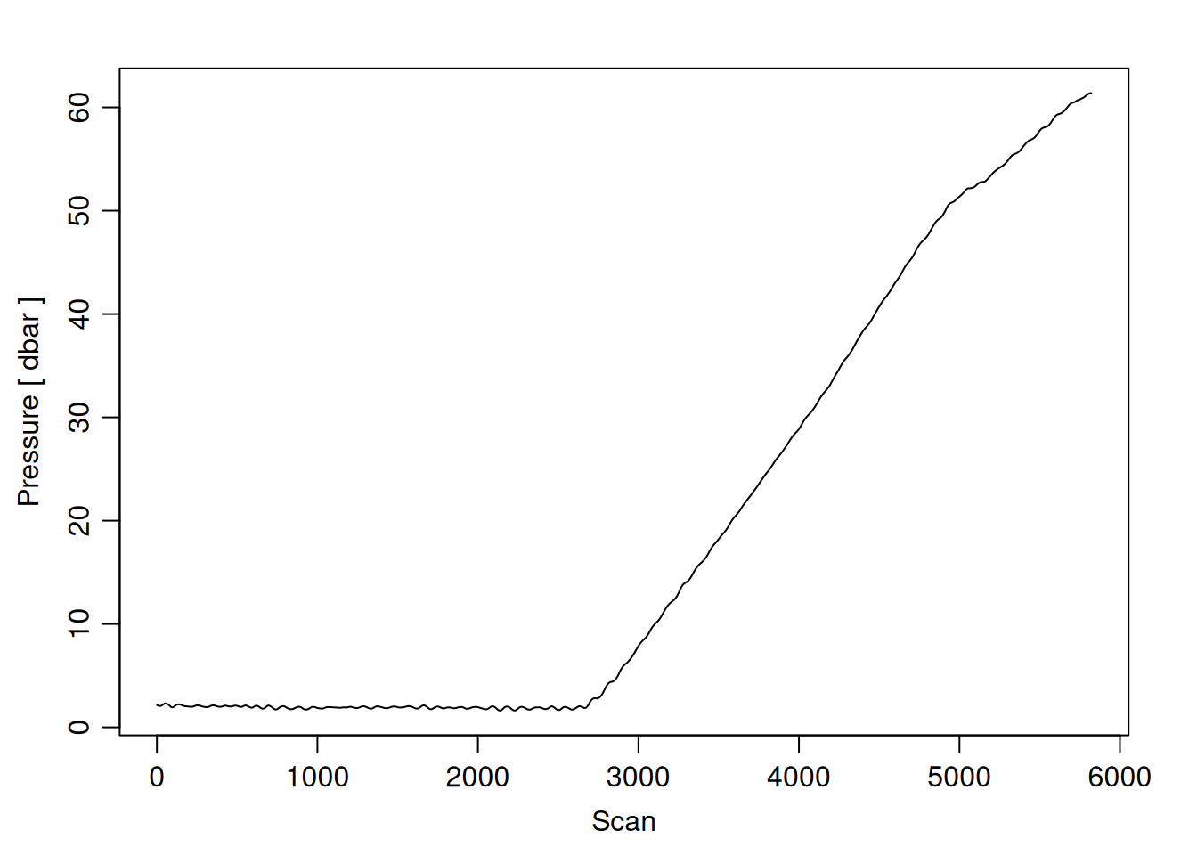
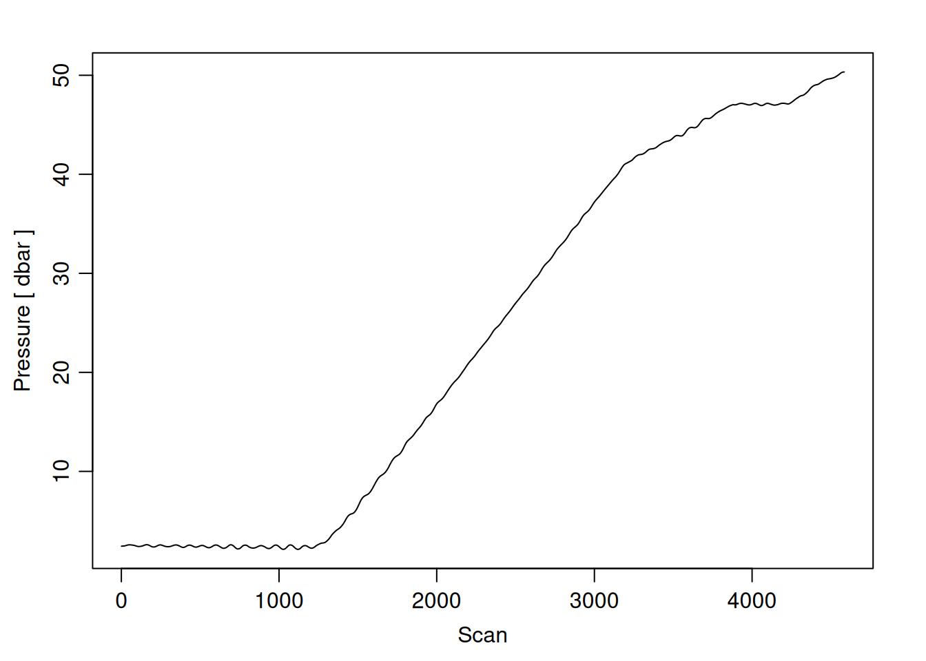
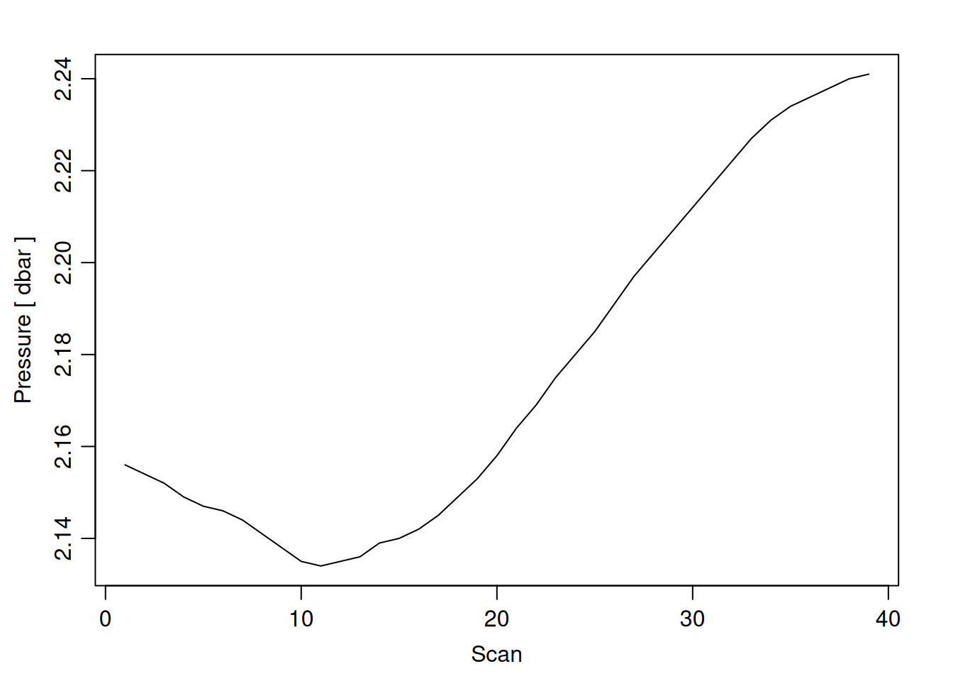
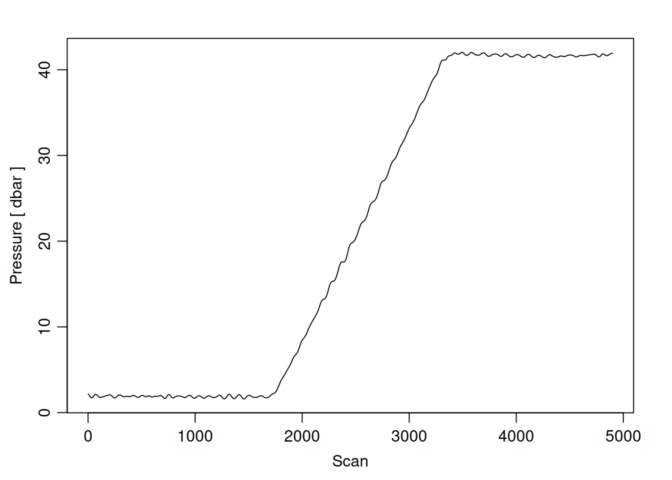
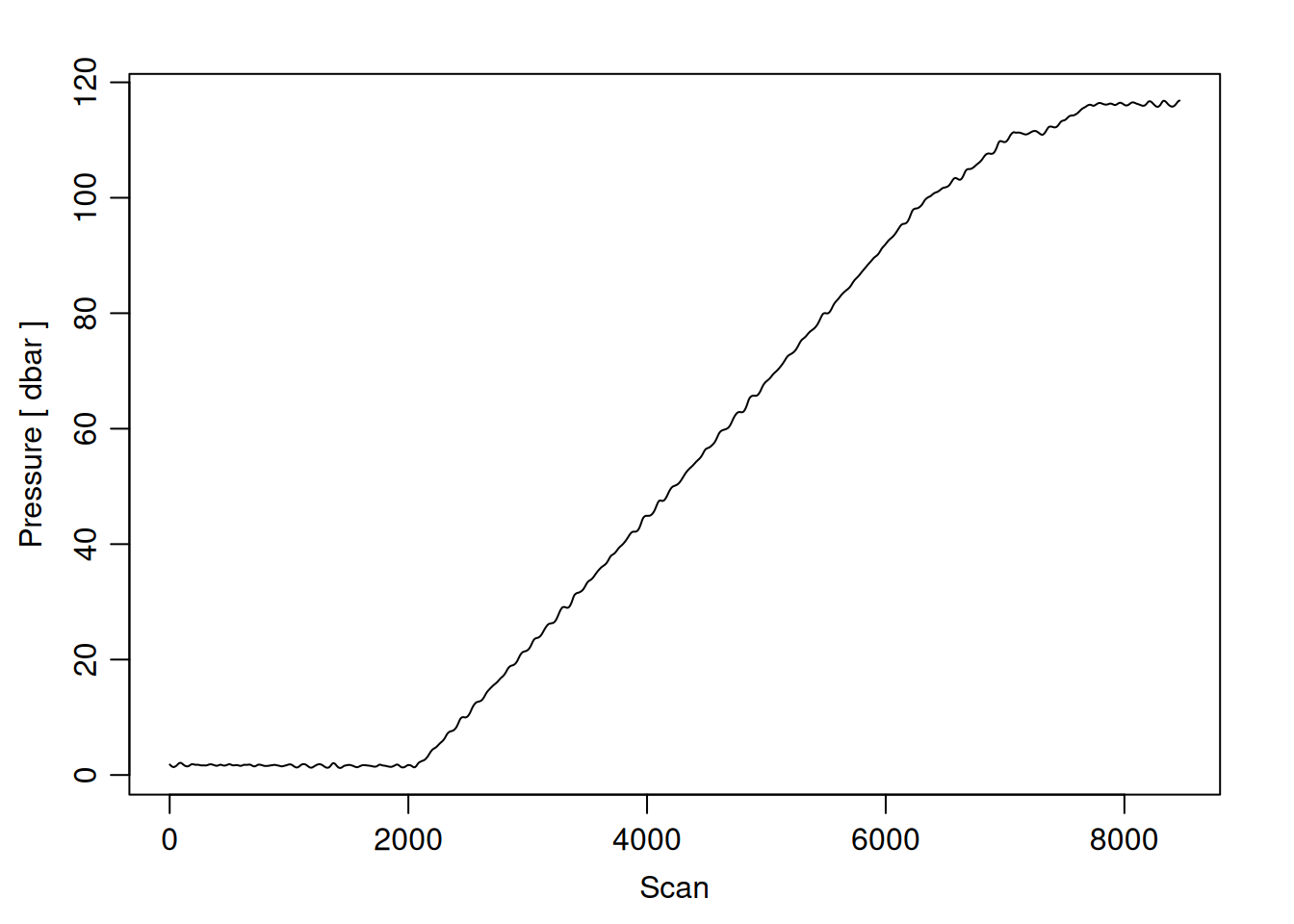
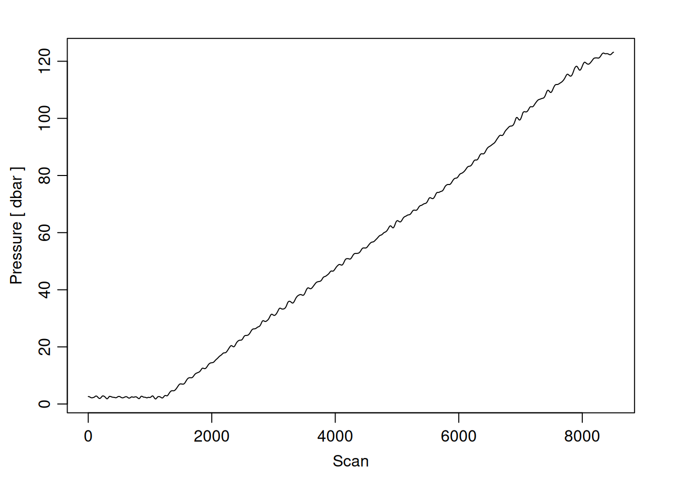
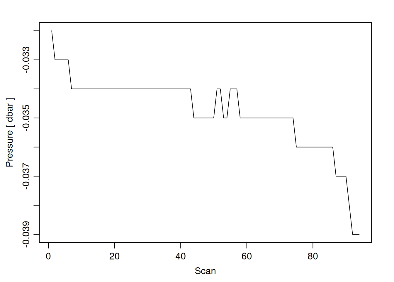
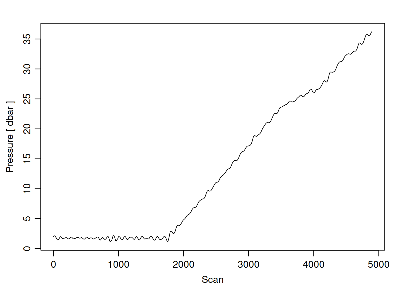
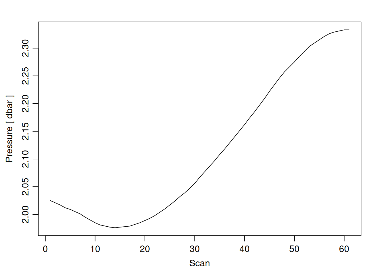
Click a CTD Cast for Data Cleaning Details
SV18067_SV18067_SV18067_12
SV18067_SV18067_SV18067_17
SV18067_SV18067_SV18067_18
SV18067_SV18067_SV18067_2
SV18067_SV18067_SV18067_21.5
SV18067_SV18067_SV18067_21LK
SV18067_SV18067_SV18067_3
SV18067_SV18067_SV18067_31
SV18067_SV18067_SV18067_33
SV18067_SV18067_SV18067_41
SV18067_SV18067_SV18067_45
SV18067_SV18067_SV18067_49
SV18067_SV18067_SV18067_51
SV18067_SV18067_SV18067_54
SV18067_SV18067_SV18067_55
SV18067_SV18067_SV18067_56
SV18067_SV18067_SV18067_57
SV18067_SV18067_SV18067_57.1
SV18067_SV18067_SV18067_57.2
SV18067_SV18067_SV18067_57.3
SV18067_SV18067_SV18067_58
SV18067_SV18067_SV18067_59
SV18067_SV18067_SV18067_60
SV18067_SV18067_SV18067_62
SV18067_SV18067_SV18067_68
SV18067_SV18067_SV18067_7
SV18067_SV18067_SV18067_9
SV18067_SV18067_SV18067_9.5
SV18067_SV18067_SV18067_MR
SV18067_SV18067_SV18067_WS
SV18173_SV18173_SV18173_10
SV18173_SV18173_SV18173_12
SV18173_SV18173_SV18173_16
SV18173_SV18173_SV18173_18
SV18173_SV18173_SV18173_2
SV18173_SV18173_SV18173_21LK
SV18173_SV18173_SV18173_30
SV18173_SV18173_SV18173_31
SV18173_SV18173_SV18173_33
SV18173_SV18173_SV18173_41
SV18173_SV18173_SV18173_45
SV18173_SV18173_SV18173_49
SV18173_SV18173_SV18173_51
SV18173_SV18173_SV18173_54
SV18173_SV18173_SV18173_55
SV18173_SV18173_SV18173_56
SV18173_SV18173_SV18173_57
SV18173_SV18173_SV18173_57.1
SV18173_SV18173_SV18173_57.2
SV18173_SV18173_SV18173_57.3
SV18173_SV18173_SV18173_58
SV18173_SV18173_SV18173_59
SV18173_SV18173_SV18173_60
SV18173_SV18173_SV18173_62
SV18173_SV18173_SV18173_64
SV18173_SV18173_SV18173_65
SV18173_SV18173_SV18173_68
SV18173_SV18173_SV18173_7
SV18173_SV18173_SV18173_9
SV18173_SV18173_SV18173_9.5
SV18173_SV18173_SV18173_MR
SV18173_SV18173_SV18173_WS
WB22215_WB22215_WB22215_12
WB22215_WB22215_WB22215_18
WB22215_WB22215_WB22215_2
WB22215_WB22215_WB22215_21LK
WB22215_WB22215_WB22215_30
WB22215_WB22215_WB22215_31
WB22215_WB22215_WB22215_33
WB22215_WB22215_WB22215_41
WB22215_WB22215_WB22215_45
WB22215_WB22215_WB22215_47
WB22215_WB22215_WB22215_51
WB22215_WB22215_WB22215_56
WB22215_WB22215_WB22215_57
WB22215_WB22215_WB22215_57.1
WB22215_WB22215_WB22215_57.2
WB22215_WB22215_WB22215_57.3
WB22215_WB22215_WB22215_58
WB22215_WB22215_WB22215_60
WB22215_WB22215_WB22215_68
WB22215_WB22215_WB22215_9
WB22215_WB22215_WB22215_9.5
WB22215_WB22215_WB22215_AMI1
WB22215_WB22215_WB22215_AMI2
WB22215_WB22215_WB22215_AMI3
WB22215_WB22215_WB22215_AMI4
WB22215_WB22215_WB22215_AMI5
WB22215_WB22215_WB22215_AMI6
WB22215_WB22215_WB22215_AMI7
WB22215_WB22215_WB22215_AMI8
WB22215_WB22215_WB22215_AMI9
WB22215_WB22215_WB22215_BG1
WB22215_WB22215_WB22215_BG2
WB22215_WB22215_WB22215_BG3
WB22215_WB22215_WB22215_BG4
WB22215_WB22215_WB22215_CAL1
WB22215_WB22215_WB22215_CAL2
WB22215_WB22215_WB22215_CAL3
WB22215_WB22215_WB22215_CAL4
WB22215_WB22215_WB22215_CAL5
WB22215_WB22215_WB22215_CAL6
WB22215_WB22215_WB22215_GP5
WB22215_WB22215_WB22215_KW1
WB22215_WB22215_WB22215_KW2
WB22215_WB22215_WB22215_KW4
WB22215_WB22215_WB22215_MR
WB22215_WB22215_WB22215_RP1
WB22215_WB22215_WB22215_RP2
WB22215_WB22215_WB22215_RP3
WB22215_WB22215_WB22215_RP4
WB22215_WB22215_WB22215_TB10
WB22215_WB22215_WB22215_TB4
WB22215_WB22215_WB22215_TB5
WB22215_WB22215_WB22215_V1
WB22215_WB22215_WB22215_V2
WB22215_WB22215_WB22215_V3
WB22215_WB22215_WB22215_V4
WB22215_WB22215_WB22215_V5
WB22215_WB22215_WB22215_V6
WB22215_WB22215_WB22215_V7
WB22215_WB22215_WB22215_V8
WB22215_WB22215_WB22215_V9
WB22215_WB22215_WB22215_WS
WS0603_WS0603_WS0603_1
WS0603_WS0603_WS0603_10
WS0603_WS0603_WS0603_11
WS0603_WS0603_WS0603_12
WS0603_WS0603_WS0603_13
WS0603_WS0603_WS0603_14
WS0603_WS0603_WS0603_15
WS0603_WS0603_WS0603_15.5
WS0603_WS0603_WS0603_16
WS0603_WS0603_WS0603_17
WS0603_WS0603_WS0603_18
WS0603_WS0603_WS0603_19
WS0603_WS0603_WS0603_2
WS0603_WS0603_WS0603_20
WS0603_WS0603_WS0603_21.5
WS0603_WS0603_WS0603_21LK
WS0603_WS0603_WS0603_22
WS0603_WS0603_WS0603_22.5
WS0603_WS0603_WS0603_23
WS0603_WS0603_WS0603_24
WS0603_WS0603_WS0603_25
WS0603_WS0603_WS0603_25.5
WS0603_WS0603_WS0603_26
WS0603_WS0603_WS0603_27
WS0603_WS0603_WS0603_28
WS0603_WS0603_WS0603_28.5
WS0603_WS0603_WS0603_29
WS0603_WS0603_WS0603_29.5
WS0603_WS0603_WS0603_3
WS0603_WS0603_WS0603_30
WS0603_WS0603_WS0603_31
WS0603_WS0603_WS0603_32
WS0603_WS0603_WS0603_33
WS0603_WS0603_WS0603_34
WS0603_WS0603_WS0603_39
WS0603_WS0603_WS0603_4
WS0603_WS0603_WS0603_40
WS0603_WS0603_WS0603_41
WS0603_WS0603_WS0603_42
WS0603_WS0603_WS0603_44
WS0603_WS0603_WS0603_45
WS0603_WS0603_WS0603_46
WS0603_WS0603_WS0603_47
WS0603_WS0603_WS0603_48
WS0603_WS0603_WS0603_49
WS0603_WS0603_WS0603_5
WS0603_WS0603_WS0603_5.5
WS0603_WS0603_WS0603_50
WS0603_WS0603_WS0603_51
WS0603_WS0603_WS0603_52
WS0603_WS0603_WS0603_53
WS0603_WS0603_WS0603_54
WS0603_WS0603_WS0603_55
WS0603_WS0603_WS0603_56
WS0603_WS0603_WS0603_57
WS0603_WS0603_WS0603_58
WS0603_WS0603_WS0603_59
WS0603_WS0603_WS0603_6
WS0603_WS0603_WS0603_6.5
WS0603_WS0603_WS0603_60
WS0603_WS0603_WS0603_61
WS0603_WS0603_WS0603_62
WS0603_WS0603_WS0603_63
WS0603_WS0603_WS0603_64
WS0603_WS0603_WS0603_65
WS0603_WS0603_WS0603_66
WS0603_WS0603_WS0603_67
WS0603_WS0603_WS0603_68
WS0603_WS0603_WS0603_69
WS0603_WS0603_WS0603_7
WS0603_WS0603_WS0603_70
WS0603_WS0603_WS0603_71
WS0603_WS0603_WS0603_8
WS0603_WS0603_WS0603_9
WS0603_WS0603_WS0603_9.5
WS0603_WS0603_WS0603_CAL1
WS0603_WS0603_WS0603_CAL2
WS0603_WS0603_WS0603_CAL3
WS0603_WS0603_WS0603_CAL4
WS0603_WS0603_WS0603_CAL5
WS0603_WS0603_WS0603_CH1
WS0603_WS0603_WS0603_CH2
WS0603_WS0603_WS0603_CH3
WS0603_WS0603_WS0603_CH4
WS0603_WS0603_WS0603_CH5
WS0603_WS0603_WS0603_DT1
WS0603_WS0603_WS0603_DT10
WS0603_WS0603_WS0603_DT11
WS0603_WS0603_WS0603_DT2
WS0603_WS0603_WS0603_DT3
WS0603_WS0603_WS0603_DT4
WS0603_WS0603_WS0603_DT5
WS0603_WS0603_WS0603_DT6
WS0603_WS0603_WS0603_DT7
WS0603_WS0603_WS0603_DT8
WS0603_WS0603_WS0603_DT9
WS0612_WS0612_WS0612_1
WS0612_WS0612_WS0612_10
WS0612_WS0612_WS0612_11
WS0612_WS0612_WS0612_12
WS0612_WS0612_WS0612_13
WS0612_WS0612_WS0612_14
WS0612_WS0612_WS0612_15
WS0612_WS0612_WS0612_15.5
WS0612_WS0612_WS0612_16
WS0612_WS0612_WS0612_17
WS0612_WS0612_WS0612_18
WS0612_WS0612_WS0612_19
WS0612_WS0612_WS0612_2
WS0612_WS0612_WS0612_20
WS0612_WS0612_WS0612_21.5
WS0612_WS0612_WS0612_21LK
WS0612_WS0612_WS0612_22
WS0612_WS0612_WS0612_22.5
WS0612_WS0612_WS0612_23
WS0612_WS0612_WS0612_24
WS0612_WS0612_WS0612_25
WS0612_WS0612_WS0612_25.5
WS0612_WS0612_WS0612_26
WS0612_WS0612_WS0612_27
WS0612_WS0612_WS0612_28
WS0612_WS0612_WS0612_28.5
WS0612_WS0612_WS0612_29
WS0612_WS0612_WS0612_29.5
WS0612_WS0612_WS0612_3
WS0612_WS0612_WS0612_30
WS0612_WS0612_WS0612_30.5
WS0612_WS0612_WS0612_31
WS0612_WS0612_WS0612_32
WS0612_WS0612_WS0612_33
WS0612_WS0612_WS0612_34
WS0612_WS0612_WS0612_39
WS0612_WS0612_WS0612_4
WS0612_WS0612_WS0612_40
WS0612_WS0612_WS0612_41
WS0612_WS0612_WS0612_42
WS0612_WS0612_WS0612_45
WS0612_WS0612_WS0612_46
WS0612_WS0612_WS0612_47
WS0612_WS0612_WS0612_48
WS0612_WS0612_WS0612_49
WS0612_WS0612_WS0612_5
WS0612_WS0612_WS0612_5.5
WS0612_WS0612_WS0612_50
WS0612_WS0612_WS0612_51
WS0612_WS0612_WS0612_52
WS0612_WS0612_WS0612_53
WS0612_WS0612_WS0612_54
WS0612_WS0612_WS0612_55
WS0612_WS0612_WS0612_56
WS0612_WS0612_WS0612_57
WS0612_WS0612_WS0612_6
WS0612_WS0612_WS0612_6.5
WS0612_WS0612_WS0612_60
WS0612_WS0612_WS0612_61
WS0612_WS0612_WS0612_62
WS0612_WS0612_WS0612_63
WS0612_WS0612_WS0612_64
WS0612_WS0612_WS0612_65
WS0612_WS0612_WS0612_66
WS0612_WS0612_WS0612_67
WS0612_WS0612_WS0612_68
WS0612_WS0612_WS0612_69
WS0612_WS0612_WS0612_7
WS0612_WS0612_WS0612_70
WS0612_WS0612_WS0612_71
WS0612_WS0612_WS0612_8
WS0612_WS0612_WS0612_9
WS0612_WS0612_WS0612_9.5
WS0612_WS0612_WS0612_CAL1
WS0612_WS0612_WS0612_CAL2
WS0612_WS0612_WS0612_CAL3
WS0612_WS0612_WS0612_CAL4
WS0612_WS0612_WS0612_CAL5
WS0612_WS0612_WS0612_CH1
WS0612_WS0612_WS0612_CH2
WS0612_WS0612_WS0612_CH3
WS0612_WS0612_WS0612_CH4
WS0612_WS0612_WS0612_CH5
WS0612_WS0612_WS0612_DT1
WS0612_WS0612_WS0612_DT10
WS0612_WS0612_WS0612_DT11
WS0612_WS0612_WS0612_DT2
WS0612_WS0612_WS0612_DT3
WS0612_WS0612_WS0612_DT4
WS0612_WS0612_WS0612_DT5
WS0612_WS0612_WS0612_DT6
WS0612_WS0612_WS0612_DT7
WS0612_WS0612_WS0612_DT8
WS0612_WS0612_WS0612_DT9
WS0618_WS0618_WS0618_1
WS0618_WS0618_WS0618_10
WS0618_WS0618_WS0618_12
WS0618_WS0618_WS0618_16
WS0618_WS0618_WS0618_17
WS0618_WS0618_WS0618_18
WS0618_WS0618_WS0618_19
WS0618_WS0618_WS0618_20
WS0618_WS0618_WS0618_21.5
WS0618_WS0618_WS0618_21LK
WS0618_WS0618_WS0618_22.5
WS0618_WS0618_WS0618_23
WS0618_WS0618_WS0618_24
WS0618_WS0618_WS0618_25.5
WS0618_WS0618_WS0618_27
WS0618_WS0618_WS0618_28
WS0618_WS0618_WS0618_29
WS0618_WS0618_WS0618_3
WS0618_WS0618_WS0618_30
WS0618_WS0618_WS0618_31
WS0618_WS0618_WS0618_32
WS0618_WS0618_WS0618_33
WS0618_WS0618_WS0618_34
WS0618_WS0618_WS0618_39
WS0618_WS0618_WS0618_44
WS0618_WS0618_WS0618_49
WS0618_WS0618_WS0618_5
WS0618_WS0618_WS0618_50
WS0618_WS0618_WS0618_53
WS0618_WS0618_WS0618_54
WS0618_WS0618_WS0618_56
WS0618_WS0618_WS0618_58
WS0618_WS0618_WS0618_6
WS0618_WS0618_WS0618_6.5
WS0618_WS0618_WS0618_60
WS0618_WS0618_WS0618_68
WS0618_WS0618_WS0618_7
WS0618_WS0618_WS0618_9
WS0618_WS0618_WS0618_9.5
WS0618_WS0618_WS0618_CAL1
WS0618_WS0618_WS0618_CAL5
WS0618_WS0618_WS0618_CH2
WS0618_WS0618_WS0618_CH5
WS0618_WS0618_WS0618_DT1
WS0618_WS0618_WS0618_DT10
WS0618_WS0618_WS0618_DT11
WS0618_WS0618_WS0618_DT2
WS0618_WS0618_WS0618_DT4
WS0618_WS0618_WS0618_DT7
WS0618_WS0618_WS0618_DT9
WS0623_WS0623_WS0623_10
WS0623_WS0623_WS0623_16
WS0623_WS0623_WS0623_17
WS0623_WS0623_WS0623_18
WS0623_WS0623_WS0623_19
WS0623_WS0623_WS0623_20
WS0623_WS0623_WS0623_23
WS0623_WS0623_WS0623_24
WS0623_WS0623_WS0623_28
WS0623_WS0623_WS0623_29
WS0623_WS0623_WS0623_3
WS0623_WS0623_WS0623_30
WS0623_WS0623_WS0623_31
WS0623_WS0623_WS0623_34
WS0623_WS0623_WS0623_39
WS0623_WS0623_WS0623_42
WS0623_WS0623_WS0623_49
WS0623_WS0623_WS0623_5
WS0623_WS0623_WS0623_50
WS0623_WS0623_WS0623_53
WS0623_WS0623_WS0623_54
WS0623_WS0623_WS0623_56
WS0623_WS0623_WS0623_58
WS0623_WS0623_WS0623_6
WS0623_WS0623_WS0623_6.5
WS0623_WS0623_WS0623_60
WS0623_WS0623_WS0623_68
WS0623_WS0623_WS0623_69
WS0623_WS0623_WS0623_7
WS0623_WS0623_WS0623_9
WS0623_WS0623_WS0623_CAL1
WS0623_WS0623_WS0623_CAL5
WS0623_WS0623_WS0623_CH2
WS0623_WS0623_WS0623_CH5
WS0704_WS0704_WS0704_1
WS0704_WS0704_WS0704_10
WS0704_WS0704_WS0704_12
WS0704_WS0704_WS0704_16
WS0704_WS0704_WS0704_17
WS0704_WS0704_WS0704_18
WS0704_WS0704_WS0704_19
WS0704_WS0704_WS0704_20
WS0704_WS0704_WS0704_21.5
WS0704_WS0704_WS0704_22.5
WS0704_WS0704_WS0704_23
WS0704_WS0704_WS0704_24
WS0704_WS0704_WS0704_25.5
WS0704_WS0704_WS0704_27
WS0704_WS0704_WS0704_28
WS0704_WS0704_WS0704_29
WS0704_WS0704_WS0704_3
WS0704_WS0704_WS0704_30
WS0704_WS0704_WS0704_31
WS0704_WS0704_WS0704_34
WS0704_WS0704_WS0704_39
WS0704_WS0704_WS0704_42
WS0704_WS0704_WS0704_49
WS0704_WS0704_WS0704_5
WS0704_WS0704_WS0704_50
WS0704_WS0704_WS0704_53
WS0704_WS0704_WS0704_54
WS0704_WS0704_WS0704_56
WS0704_WS0704_WS0704_58
WS0704_WS0704_WS0704_6
WS0704_WS0704_WS0704_6.5
WS0704_WS0704_WS0704_60
WS0704_WS0704_WS0704_68
WS0704_WS0704_WS0704_69
WS0704_WS0704_WS0704_7
WS0704_WS0704_WS0704_9
WS0704_WS0704_WS0704_9.5
WS0704_WS0704_WS0704_CAL1
WS0704_WS0704_WS0704_CAL5
WS0704_WS0704_WS0704_CH2
WS0704_WS0704_WS0704_CH5
WS0718_WS0718_WS0718_1
WS0718_WS0718_WS0718_10
WS0718_WS0718_WS0718_16
WS0718_WS0718_WS0718_17
WS0718_WS0718_WS0718_18
WS0718_WS0718_WS0718_19
WS0718_WS0718_WS0718_20
WS0718_WS0718_WS0718_21.5
WS0718_WS0718_WS0718_22.5
WS0718_WS0718_WS0718_23
WS0718_WS0718_WS0718_24
WS0718_WS0718_WS0718_25.5
WS0718_WS0718_WS0718_27
WS0718_WS0718_WS0718_28
WS0718_WS0718_WS0718_29
WS0718_WS0718_WS0718_3
WS0718_WS0718_WS0718_30
WS0718_WS0718_WS0718_31
WS0718_WS0718_WS0718_34
WS0718_WS0718_WS0718_39
WS0718_WS0718_WS0718_42
WS0718_WS0718_WS0718_49
WS0718_WS0718_WS0718_5
WS0718_WS0718_WS0718_50
WS0718_WS0718_WS0718_53
WS0718_WS0718_WS0718_54
WS0718_WS0718_WS0718_56
WS0718_WS0718_WS0718_58
WS0718_WS0718_WS0718_6
WS0718_WS0718_WS0718_6.5
WS0718_WS0718_WS0718_60
WS0718_WS0718_WS0718_68
WS0718_WS0718_WS0718_69
WS0718_WS0718_WS0718_7
WS0718_WS0718_WS0718_9
WS0718_WS0718_WS0718_9.5
WS0718_WS0718_WS0718_CAL1
WS0718_WS0718_WS0718_CAL5
WS0718_WS0718_WS0718_CH2
WS0718_WS0718_WS0718_CH5
WS0802_WS0802_WS0802_1
WS0802_WS0802_WS0802_10
WS0802_WS0802_WS0802_12
WS0802_WS0802_WS0802_16
WS0802_WS0802_WS0802_17
WS0802_WS0802_WS0802_18
WS0802_WS0802_WS0802_19
WS0802_WS0802_WS0802_20
WS0802_WS0802_WS0802_21.5
WS0802_WS0802_WS0802_22.5
WS0802_WS0802_WS0802_23
WS0802_WS0802_WS0802_24
WS0802_WS0802_WS0802_25.5
WS0802_WS0802_WS0802_27
WS0802_WS0802_WS0802_29
WS0802_WS0802_WS0802_3
WS0802_WS0802_WS0802_30
WS0802_WS0802_WS0802_31
WS0802_WS0802_WS0802_34
WS0802_WS0802_WS0802_39
WS0802_WS0802_WS0802_42
WS0802_WS0802_WS0802_49
WS0802_WS0802_WS0802_50
WS0802_WS0802_WS0802_53
WS0802_WS0802_WS0802_54
WS0802_WS0802_WS0802_56
WS0802_WS0802_WS0802_58
WS0802_WS0802_WS0802_60
WS0802_WS0802_WS0802_68
WS0802_WS0802_WS0802_69
WS0802_WS0802_WS0802_7
WS0802_WS0802_WS0802_9
WS0802_WS0802_WS0802_9.5
WS0802_WS0802_WS0802_CAL1
WS0802_WS0802_WS0802_CAL5
WS0802_WS0802_WS0802_CH2
WS0802_WS0802_WS0802_CH5
WS0807_WS0807_WS0807_10
WS0807_WS0807_WS0807_12
WS0807_WS0807_WS0807_16
WS0807_WS0807_WS0807_17
WS0807_WS0807_WS0807_18
WS0807_WS0807_WS0807_19
WS0807_WS0807_WS0807_20
WS0807_WS0807_WS0807_21.5
WS0807_WS0807_WS0807_22.5
WS0807_WS0807_WS0807_23
WS0807_WS0807_WS0807_24
WS0807_WS0807_WS0807_25.5
WS0807_WS0807_WS0807_27
WS0807_WS0807_WS0807_28
WS0807_WS0807_WS0807_29
WS0807_WS0807_WS0807_30
WS0807_WS0807_WS0807_31
WS0807_WS0807_WS0807_34
WS0807_WS0807_WS0807_39
WS0807_WS0807_WS0807_42
WS0807_WS0807_WS0807_49
WS0807_WS0807_WS0807_5
WS0807_WS0807_WS0807_50
WS0807_WS0807_WS0807_53
WS0807_WS0807_WS0807_54
WS0807_WS0807_WS0807_56
WS0807_WS0807_WS0807_58
WS0807_WS0807_WS0807_6
WS0807_WS0807_WS0807_6.5
WS0807_WS0807_WS0807_60
WS0807_WS0807_WS0807_68
WS0807_WS0807_WS0807_69
WS0807_WS0807_WS0807_7
WS0807_WS0807_WS0807_9
WS0807_WS0807_WS0807_9.5
WS0807_WS0807_WS0807_CAL1
WS0807_WS0807_WS0807_CAL5
WS0807_WS0807_WS0807_CH2
WS0807_WS0807_WS0807_CH5
WS0901_WS0901_WS0901_1
WS0901_WS0901_WS0901_10
WS0901_WS0901_WS0901_12
WS0901_WS0901_WS0901_16
WS0901_WS0901_WS0901_17
WS0901_WS0901_WS0901_18
WS0901_WS0901_WS0901_19
WS0901_WS0901_WS0901_2
WS0901_WS0901_WS0901_20
WS0901_WS0901_WS0901_21.5
WS0901_WS0901_WS0901_22.5
WS0901_WS0901_WS0901_23
WS0901_WS0901_WS0901_24
WS0901_WS0901_WS0901_25.5
WS0901_WS0901_WS0901_27
WS0901_WS0901_WS0901_28
WS0901_WS0901_WS0901_29
WS0901_WS0901_WS0901_3
WS0901_WS0901_WS0901_30
WS0901_WS0901_WS0901_31
WS0901_WS0901_WS0901_34
WS0901_WS0901_WS0901_39
WS0901_WS0901_WS0901_42
WS0901_WS0901_WS0901_49
WS0901_WS0901_WS0901_5
WS0901_WS0901_WS0901_50
WS0901_WS0901_WS0901_53
WS0901_WS0901_WS0901_54
WS0901_WS0901_WS0901_56
WS0901_WS0901_WS0901_58
WS0901_WS0901_WS0901_6
WS0901_WS0901_WS0901_6.5
WS0901_WS0901_WS0901_60
WS0901_WS0901_WS0901_68
WS0901_WS0901_WS0901_69
WS0901_WS0901_WS0901_7
WS0901_WS0901_WS0901_9
WS0901_WS0901_WS0901_9.5
WS0901_WS0901_WS0901_CAL1
WS0901_WS0901_WS0901_CAL5
WS0901_WS0901_WS0901_CH2
WS0901_WS0901_WS0901_CH5
WS0906_WS0906_WS0906_1
WS0906_WS0906_WS0906_10
WS0906_WS0906_WS0906_12
WS0906_WS0906_WS0906_16
WS0906_WS0906_WS0906_17
WS0906_WS0906_WS0906_18
WS0906_WS0906_WS0906_21.5
WS0906_WS0906_WS0906_21LK
WS0906_WS0906_WS0906_22.5
WS0906_WS0906_WS0906_23
WS0906_WS0906_WS0906_24
WS0906_WS0906_WS0906_3
WS0906_WS0906_WS0906_31
WS0906_WS0906_WS0906_34
WS0906_WS0906_WS0906_42
WS0906_WS0906_WS0906_5.5
WS0906_WS0906_WS0906_50
WS0906_WS0906_WS0906_56
WS0906_WS0906_WS0906_58
WS0906_WS0906_WS0906_6.5
WS0906_WS0906_WS0906_6.75
WS0906_WS0906_WS0906_60
WS0906_WS0906_WS0906_68
WS0906_WS0906_WS0906_69
WS0906_WS0906_WS0906_8
WS0906_WS0906_WS0906_9.5
WS0906_WS0906_WS0906_CAL1
WS0906_WS0906_WS0906_CAL4
WS0906_WS0906_WS0906_CH2
WS0914_WS0914_WS0914_10
WS0914_WS0914_WS0914_12
WS0914_WS0914_WS0914_16
WS0914_WS0914_WS0914_17
WS0914_WS0914_WS0914_18
WS0914_WS0914_WS0914_19
WS0914_WS0914_WS0914_21.5
WS0914_WS0914_WS0914_21LK
WS0914_WS0914_WS0914_22.5
WS0914_WS0914_WS0914_22.5A
WS0914_WS0914_WS0914_23
WS0914_WS0914_WS0914_24
WS0914_WS0914_WS0914_3
WS0914_WS0914_WS0914_34
WS0914_WS0914_WS0914_42
WS0914_WS0914_WS0914_48
WS0914_WS0914_WS0914_54
WS0914_WS0914_WS0914_58
WS0914_WS0914_WS0914_6
WS0914_WS0914_WS0914_6.5
WS0914_WS0914_WS0914_6.75
WS0914_WS0914_WS0914_60
WS0914_WS0914_WS0914_68
WS0914_WS0914_WS0914_69
WS0914_WS0914_WS0914_7
WS0914_WS0914_WS0914_9
WS0914_WS0914_WS0914_9.5
WS0914_WS0914_WS0914_CAL1
WS0914_WS0914_WS0914_CAL5
WS0914_WS0914_WS0914_CH2
WS0914_WS0914_WS0914_CH5
WS0919_WS0919_WS0919_1
WS0919_WS0919_WS0919_10
WS0919_WS0919_WS0919_12
WS0919_WS0919_WS0919_16
WS0919_WS0919_WS0919_17
WS0919_WS0919_WS0919_18
WS0919_WS0919_WS0919_19
WS0919_WS0919_WS0919_21LK
WS0919_WS0919_WS0919_22.5
WS0919_WS0919_WS0919_23
WS0919_WS0919_WS0919_24
WS0919_WS0919_WS0919_3
WS0919_WS0919_WS0919_31
WS0919_WS0919_WS0919_34
WS0919_WS0919_WS0919_39
WS0919_WS0919_WS0919_42
WS0919_WS0919_WS0919_49
WS0919_WS0919_WS0919_5
WS0919_WS0919_WS0919_50
WS0919_WS0919_WS0919_53
WS0919_WS0919_WS0919_55
WS0919_WS0919_WS0919_56
WS0919_WS0919_WS0919_58
WS0919_WS0919_WS0919_6
WS0919_WS0919_WS0919_6.5
WS0919_WS0919_WS0919_6.75
WS0919_WS0919_WS0919_60
WS0919_WS0919_WS0919_69
WS0919_WS0919_WS0919_7
WS0919_WS0919_WS0919_9
WS0919_WS0919_WS0919_9.5
WS0919_WS0919_WS0919_CAL1
WS0919_WS0919_WS0919_CAL5
WS0919_WS0919_WS0919_CH2
WS0923_WS0923_WS0923_1
WS0923_WS0923_WS0923_10
WS0923_WS0923_WS0923_12
WS0923_WS0923_WS0923_16
WS0923_WS0923_WS0923_17
WS0923_WS0923_WS0923_18
WS0923_WS0923_WS0923_19
WS0923_WS0923_WS0923_21.5
WS0923_WS0923_WS0923_21LK
WS0923_WS0923_WS0923_22.5
WS0923_WS0923_WS0923_23
WS0923_WS0923_WS0923_24
WS0923_WS0923_WS0923_3
WS0923_WS0923_WS0923_31
WS0923_WS0923_WS0923_34
WS0923_WS0923_WS0923_39
WS0923_WS0923_WS0923_42
WS0923_WS0923_WS0923_49
WS0923_WS0923_WS0923_49.5
WS0923_WS0923_WS0923_5
WS0923_WS0923_WS0923_50
WS0923_WS0923_WS0923_53
WS0923_WS0923_WS0923_54
WS0923_WS0923_WS0923_56
WS0923_WS0923_WS0923_58
WS0923_WS0923_WS0923_6
WS0923_WS0923_WS0923_6.5
WS0923_WS0923_WS0923_6.75
WS0923_WS0923_WS0923_60
WS0923_WS0923_WS0923_68
WS0923_WS0923_WS0923_69
WS0923_WS0923_WS0923_7
WS0923_WS0923_WS0923_9
WS0923_WS0923_WS0923_9.5
WS0923_WS0923_WS0923_CAL1
WS0923_WS0923_WS0923_CAL5
WS0923_WS0923_WS0923_CH2
WS0923_WS0923_WS0923_CH5
WS1004_WS1004_WS1004_1
WS1004_WS1004_WS1004_10
WS1004_WS1004_WS1004_12
WS1004_WS1004_WS1004_16
WS1004_WS1004_WS1004_17
WS1004_WS1004_WS1004_18
WS1004_WS1004_WS1004_19
WS1004_WS1004_WS1004_21.5
WS1004_WS1004_WS1004_21LK
WS1004_WS1004_WS1004_22.5
WS1004_WS1004_WS1004_23
WS1004_WS1004_WS1004_24
WS1004_WS1004_WS1004_3
WS1004_WS1004_WS1004_31
WS1004_WS1004_WS1004_34
WS1004_WS1004_WS1004_39
WS1004_WS1004_WS1004_42
WS1004_WS1004_WS1004_45
WS1004_WS1004_WS1004_49
WS1004_WS1004_WS1004_5
WS1004_WS1004_WS1004_50
WS1004_WS1004_WS1004_53
WS1004_WS1004_WS1004_54
WS1004_WS1004_WS1004_56
WS1004_WS1004_WS1004_58
WS1004_WS1004_WS1004_6
WS1004_WS1004_WS1004_6.5
WS1004_WS1004_WS1004_60
WS1004_WS1004_WS1004_68
WS1004_WS1004_WS1004_69
WS1004_WS1004_WS1004_7
WS1004_WS1004_WS1004_9
WS1004_WS1004_WS1004_9.5
WS1004_WS1004_WS1004_CAL1
WS1004_WS1004_WS1004_CAL5
WS1004_WS1004_WS1004_CH2
WS1004_WS1004_WS1004_CH5
WS1007_WS1007_WS1007_1
WS1007_WS1007_WS1007_10
WS1007_WS1007_WS1007_12
WS1007_WS1007_WS1007_16
WS1007_WS1007_WS1007_17
WS1007_WS1007_WS1007_18
WS1007_WS1007_WS1007_19
WS1007_WS1007_WS1007_20
WS1007_WS1007_WS1007_21.5
WS1007_WS1007_WS1007_22.5
WS1007_WS1007_WS1007_23
WS1007_WS1007_WS1007_24
WS1007_WS1007_WS1007_31
WS1007_WS1007_WS1007_34
WS1007_WS1007_WS1007_39
WS1007_WS1007_WS1007_42
WS1007_WS1007_WS1007_49
WS1007_WS1007_WS1007_5
WS1007_WS1007_WS1007_50
WS1007_WS1007_WS1007_53
WS1007_WS1007_WS1007_54
WS1007_WS1007_WS1007_56
WS1007_WS1007_WS1007_58
WS1007_WS1007_WS1007_6
WS1007_WS1007_WS1007_6.5
WS1007_WS1007_WS1007_6.75
WS1007_WS1007_WS1007_60
WS1007_WS1007_WS1007_68
WS1007_WS1007_WS1007_69
WS1007_WS1007_WS1007_7
WS1007_WS1007_WS1007_9
WS1007_WS1007_WS1007_9.5
WS1007_WS1007_WS1007_CAL1
WS1007_WS1007_WS1007_CAL5
WS1007_WS1007_WS1007_CH2
WS1007_WS1007_WS1007_CH5
WS1015_WS1015_WS1015_1
WS1015_WS1015_WS1015_10
WS1015_WS1015_WS1015_11
WS1015_WS1015_WS1015_12
WS1015_WS1015_WS1015_13
WS1015_WS1015_WS1015_15
WS1015_WS1015_WS1015_15.5
WS1015_WS1015_WS1015_16
WS1015_WS1015_WS1015_17
WS1015_WS1015_WS1015_18
WS1015_WS1015_WS1015_19
WS1015_WS1015_WS1015_20
WS1015_WS1015_WS1015_21.5
WS1015_WS1015_WS1015_21LK
WS1015_WS1015_WS1015_22
WS1015_WS1015_WS1015_22.5
WS1015_WS1015_WS1015_23
WS1015_WS1015_WS1015_24
WS1015_WS1015_WS1015_3
WS1015_WS1015_WS1015_31
WS1015_WS1015_WS1015_32
WS1015_WS1015_WS1015_34
WS1015_WS1015_WS1015_39
WS1015_WS1015_WS1015_4
WS1015_WS1015_WS1015_41
WS1015_WS1015_WS1015_42
WS1015_WS1015_WS1015_45
WS1015_WS1015_WS1015_49
WS1015_WS1015_WS1015_5
WS1015_WS1015_WS1015_50
WS1015_WS1015_WS1015_53
WS1015_WS1015_WS1015_54
WS1015_WS1015_WS1015_56
WS1015_WS1015_WS1015_58
WS1015_WS1015_WS1015_59
WS1015_WS1015_WS1015_6
WS1015_WS1015_WS1015_6.5
WS1015_WS1015_WS1015_60
WS1015_WS1015_WS1015_68
WS1015_WS1015_WS1015_69
WS1015_WS1015_WS1015_7
WS1015_WS1015_WS1015_8
WS1015_WS1015_WS1015_9.5
WS1015_WS1015_WS1015_CAL1
WS1015_WS1015_WS1015_CAL3
WS1015_WS1015_WS1015_CAL4
WS1015_WS1015_WS1015_CAL5
WS1015_WS1015_WS1015_CH2
WS1015_WS1015_WS1015_CH3
WS1015_WS1015_WS1015_CH4
WS1015_WS1015_WS1015_CH5
WS1018_WS1018_WS1018_1
WS1018_WS1018_WS1018_10
WS1018_WS1018_WS1018_12
WS1018_WS1018_WS1018_16
WS1018_WS1018_WS1018_17
WS1018_WS1018_WS1018_18
WS1018_WS1018_WS1018_19
WS1018_WS1018_WS1018_20
WS1018_WS1018_WS1018_21.5
WS1018_WS1018_WS1018_22.5
WS1018_WS1018_WS1018_23
WS1018_WS1018_WS1018_24
WS1018_WS1018_WS1018_3
WS1018_WS1018_WS1018_31
WS1018_WS1018_WS1018_34
WS1018_WS1018_WS1018_39
WS1018_WS1018_WS1018_42
WS1018_WS1018_WS1018_49
WS1018_WS1018_WS1018_5
WS1018_WS1018_WS1018_50
WS1018_WS1018_WS1018_53
WS1018_WS1018_WS1018_54
WS1018_WS1018_WS1018_56
WS1018_WS1018_WS1018_58
WS1018_WS1018_WS1018_6
WS1018_WS1018_WS1018_6.5
WS1018_WS1018_WS1018_6.75
WS1018_WS1018_WS1018_60
WS1018_WS1018_WS1018_68
WS1018_WS1018_WS1018_69
WS1018_WS1018_WS1018_7
WS1018_WS1018_WS1018_9
WS1018_WS1018_WS1018_9.5
WS1018_WS1018_WS1018_CAL1
WS1018_WS1018_WS1018_CAL5
WS1018_WS1018_WS1018_CH2
WS1018_WS1018_WS1018_CH5
WS1102_WS1102_WS1102_1
WS1102_WS1102_WS1102_16
WS1102_WS1102_WS1102_17
WS1102_WS1102_WS1102_18
WS1102_WS1102_WS1102_19
WS1102_WS1102_WS1102_20
WS1102_WS1102_WS1102_21.5
WS1102_WS1102_WS1102_22.5
WS1102_WS1102_WS1102_23
WS1102_WS1102_WS1102_24
WS1102_WS1102_WS1102_25.5
WS1102_WS1102_WS1102_28
WS1102_WS1102_WS1102_29.5
WS1102_WS1102_WS1102_3
WS1102_WS1102_WS1102_31
WS1102_WS1102_WS1102_34
WS1102_WS1102_WS1102_39
WS1102_WS1102_WS1102_42
WS1102_WS1102_WS1102_49
WS1102_WS1102_WS1102_50
WS1102_WS1102_WS1102_53
WS1102_WS1102_WS1102_54
WS1102_WS1102_WS1102_56
WS1102_WS1102_WS1102_57
WS1102_WS1102_WS1102_59
WS1102_WS1102_WS1102_6.5
WS1102_WS1102_WS1102_60
WS1102_WS1102_WS1102_68
WS1102_WS1102_WS1102_69
WS1102_WS1102_WS1102_7
WS1102_WS1102_WS1102_9
WS1102_WS1102_WS1102_9.5
WS1102_WS1102_WS1102_BLOOM
WS1102_WS1102_WS1102_DT9
WS1106_WS1106_WS1106_1
WS1106_WS1106_WS1106_10
WS1106_WS1106_WS1106_16
WS1106_WS1106_WS1106_17
WS1106_WS1106_WS1106_18
WS1106_WS1106_WS1106_19
WS1106_WS1106_WS1106_20
WS1106_WS1106_WS1106_21.5
WS1106_WS1106_WS1106_22.5
WS1106_WS1106_WS1106_23
WS1106_WS1106_WS1106_24
WS1106_WS1106_WS1106_25.5
WS1106_WS1106_WS1106_28
WS1106_WS1106_WS1106_29
WS1106_WS1106_WS1106_3
WS1106_WS1106_WS1106_30
WS1106_WS1106_WS1106_31
WS1106_WS1106_WS1106_34
WS1106_WS1106_WS1106_39
WS1106_WS1106_WS1106_42
WS1106_WS1106_WS1106_49
WS1106_WS1106_WS1106_50
WS1106_WS1106_WS1106_53
WS1106_WS1106_WS1106_54
WS1106_WS1106_WS1106_56
WS1106_WS1106_WS1106_58
WS1106_WS1106_WS1106_6
WS1106_WS1106_WS1106_6.5
WS1106_WS1106_WS1106_60
WS1106_WS1106_WS1106_68
WS1106_WS1106_WS1106_69
WS1106_WS1106_WS1106_7
WS1106_WS1106_WS1106_9
WS1106_WS1106_WS1106_9.5
WS1113_WS1113_WS1113_1
WS1113_WS1113_WS1113_10
WS1113_WS1113_WS1113_12
WS1113_WS1113_WS1113_16
WS1113_WS1113_WS1113_17
WS1113_WS1113_WS1113_18
WS1113_WS1113_WS1113_19
WS1113_WS1113_WS1113_20
WS1113_WS1113_WS1113_21.5
WS1113_WS1113_WS1113_22.5
WS1113_WS1113_WS1113_23
WS1113_WS1113_WS1113_24
WS1113_WS1113_WS1113_25.5
WS1113_WS1113_WS1113_28
WS1113_WS1113_WS1113_29
WS1113_WS1113_WS1113_3
WS1113_WS1113_WS1113_30
WS1113_WS1113_WS1113_31
WS1113_WS1113_WS1113_34
WS1113_WS1113_WS1113_39
WS1113_WS1113_WS1113_42
WS1113_WS1113_WS1113_49
WS1113_WS1113_WS1113_5
WS1113_WS1113_WS1113_50
WS1113_WS1113_WS1113_53
WS1113_WS1113_WS1113_54
WS1113_WS1113_WS1113_56
WS1113_WS1113_WS1113_58
WS1113_WS1113_WS1113_6
WS1113_WS1113_WS1113_6.5
WS1113_WS1113_WS1113_60
WS1113_WS1113_WS1113_68
WS1113_WS1113_WS1113_69
WS1113_WS1113_WS1113_7
WS1113_WS1113_WS1113_9
WS1113_WS1113_WS1113_9.5
WS1113_WS1113_WS1113_MR1
WS1113_WS1113_WS1113_MR2
WS1113_WS1113_WS1113_MR3
WS1113_WS1113_WS1113_MR4
WS1113_WS1113_WS1113_MR5
WS1113_WS1113_WS1113_MR6
WS1113_WS1113_WS1113_MR7
WS1116_WS1116_WS1116_1
WS1116_WS1116_WS1116_10
WS1116_WS1116_WS1116_12
WS1116_WS1116_WS1116_16
WS1116_WS1116_WS1116_17
WS1116_WS1116_WS1116_18
WS1116_WS1116_WS1116_19
WS1116_WS1116_WS1116_20
WS1116_WS1116_WS1116_21.5
WS1116_WS1116_WS1116_22.5
WS1116_WS1116_WS1116_23
WS1116_WS1116_WS1116_24
WS1116_WS1116_WS1116_25.5
WS1116_WS1116_WS1116_28
WS1116_WS1116_WS1116_29
WS1116_WS1116_WS1116_3
WS1116_WS1116_WS1116_30
WS1116_WS1116_WS1116_31
WS1116_WS1116_WS1116_5
WS1116_WS1116_WS1116_6
WS1116_WS1116_WS1116_6.5
WS1116_WS1116_WS1116_7
WS1116_WS1116_WS1116_9
WS1116_WS1116_WS1116_9.5
WS1202_WS1202_WS1202_1
WS1202_WS1202_WS1202_10
WS1202_WS1202_WS1202_12
WS1202_WS1202_WS1202_16
WS1202_WS1202_WS1202_17
WS1202_WS1202_WS1202_18
WS1202_WS1202_WS1202_19
WS1202_WS1202_WS1202_20
WS1202_WS1202_WS1202_21.5
WS1202_WS1202_WS1202_22.5
WS1202_WS1202_WS1202_23
WS1202_WS1202_WS1202_24
WS1202_WS1202_WS1202_25.5
WS1202_WS1202_WS1202_28
WS1202_WS1202_WS1202_29
WS1202_WS1202_WS1202_3
WS1202_WS1202_WS1202_30
WS1202_WS1202_WS1202_31
WS1202_WS1202_WS1202_34
WS1202_WS1202_WS1202_39
WS1202_WS1202_WS1202_4
WS1202_WS1202_WS1202_49
WS1202_WS1202_WS1202_5
WS1202_WS1202_WS1202_50
WS1202_WS1202_WS1202_53
WS1202_WS1202_WS1202_54
WS1202_WS1202_WS1202_56
WS1202_WS1202_WS1202_58
WS1202_WS1202_WS1202_6
WS1202_WS1202_WS1202_6.5
WS1202_WS1202_WS1202_60
WS1202_WS1202_WS1202_68
WS1202_WS1202_WS1202_69
WS1202_WS1202_WS1202_7
WS1202_WS1202_WS1202_9
WS1202_WS1202_WS1202_9.5
WS1207_WS1207_WS1207_1
WS1207_WS1207_WS1207_10
WS1207_WS1207_WS1207_11
WS1207_WS1207_WS1207_116
WS1207_WS1207_WS1207_117
WS1207_WS1207_WS1207_16
WS1207_WS1207_WS1207_17
WS1207_WS1207_WS1207_18
WS1207_WS1207_WS1207_19
WS1207_WS1207_WS1207_20
WS1207_WS1207_WS1207_21.5
WS1207_WS1207_WS1207_21LK
WS1207_WS1207_WS1207_22.5
WS1207_WS1207_WS1207_23
WS1207_WS1207_WS1207_24
WS1207_WS1207_WS1207_25.5
WS1207_WS1207_WS1207_28
WS1207_WS1207_WS1207_29
WS1207_WS1207_WS1207_3
WS1207_WS1207_WS1207_30
WS1207_WS1207_WS1207_31
WS1207_WS1207_WS1207_34
WS1207_WS1207_WS1207_39
WS1207_WS1207_WS1207_42
WS1207_WS1207_WS1207_49
WS1207_WS1207_WS1207_5
WS1207_WS1207_WS1207_50
WS1207_WS1207_WS1207_53
WS1207_WS1207_WS1207_54
WS1207_WS1207_WS1207_56
WS1207_WS1207_WS1207_58
WS1207_WS1207_WS1207_6
WS1207_WS1207_WS1207_6.5
WS1207_WS1207_WS1207_60
WS1207_WS1207_WS1207_68
WS1207_WS1207_WS1207_69
WS1207_WS1207_WS1207_7
WS1207_WS1207_WS1207_9
WS1207_WS1207_WS1207_9.5
WS1212_WS1212_WS1212_1
WS1212_WS1212_WS1212_10
WS1212_WS1212_WS1212_12
WS1212_WS1212_WS1212_16
WS1212_WS1212_WS1212_17
WS1212_WS1212_WS1212_18
WS1212_WS1212_WS1212_19
WS1212_WS1212_WS1212_20
WS1212_WS1212_WS1212_21.5
WS1212_WS1212_WS1212_22.5
WS1212_WS1212_WS1212_23
WS1212_WS1212_WS1212_24
WS1212_WS1212_WS1212_25.5
WS1212_WS1212_WS1212_28
WS1212_WS1212_WS1212_29
WS1212_WS1212_WS1212_3
WS1212_WS1212_WS1212_30
WS1212_WS1212_WS1212_31
WS1212_WS1212_WS1212_34
WS1212_WS1212_WS1212_39
WS1212_WS1212_WS1212_49
WS1212_WS1212_WS1212_5
WS1212_WS1212_WS1212_50
WS1212_WS1212_WS1212_53
WS1212_WS1212_WS1212_54
WS1212_WS1212_WS1212_56
WS1212_WS1212_WS1212_58
WS1212_WS1212_WS1212_6
WS1212_WS1212_WS1212_6.5
WS1212_WS1212_WS1212_60
WS1212_WS1212_WS1212_68
WS1212_WS1212_WS1212_69
WS1212_WS1212_WS1212_7
WS1212_WS1212_WS1212_9
WS1212_WS1212_WS1212_9.5
WS14335_WS14335_WS14335_10
WS14335_WS14335_WS14335_16
WS14335_WS14335_WS14335_3
WS14335_WS14335_WS14335_30
WS14335_WS14335_WS14335_31
WS14335_WS14335_WS14335_33
WS14335_WS14335_WS14335_41
WS14335_WS14335_WS14335_45
WS14335_WS14335_WS14335_49
WS14335_WS14335_WS14335_51
WS14335_WS14335_WS14335_53
WS14335_WS14335_WS14335_54
WS14335_WS14335_WS14335_55
WS14335_WS14335_WS14335_56
WS14335_WS14335_WS14335_57
WS14335_WS14335_WS14335_57.1
WS14335_WS14335_WS14335_57.2
WS14335_WS14335_WS14335_57.3
WS14335_WS14335_WS14335_58
WS14335_WS14335_WS14335_59
WS14335_WS14335_WS14335_60
WS14335_WS14335_WS14335_61
WS14335_WS14335_WS14335_62
WS14335_WS14335_WS14335_63
WS14335_WS14335_WS14335_64
WS14335_WS14335_WS14335_65
WS14335_WS14335_WS14335_66
WS14335_WS14335_WS14335_67
WS14335_WS14335_WS14335_68
WS14335_WS14335_WS14335_69
WS14335_WS14335_WS14335_7
WS14335_WS14335_WS14335_70
WS14335_WS14335_WS14335_71
WS15103_WS15103_WS15103_16
WS15103_WS15103_WS15103_18
WS15103_WS15103_WS15103_21LK
WS15103_WS15103_WS15103_3
WS15103_WS15103_WS15103_30
WS15103_WS15103_WS15103_31
WS15103_WS15103_WS15103_33
WS15103_WS15103_WS15103_41
WS15103_WS15103_WS15103_45
WS15103_WS15103_WS15103_48
WS15103_WS15103_WS15103_51
WS15103_WS15103_WS15103_53
WS15103_WS15103_WS15103_54
WS15103_WS15103_WS15103_55
WS15103_WS15103_WS15103_56
WS15103_WS15103_WS15103_57
WS15103_WS15103_WS15103_57.1
WS15103_WS15103_WS15103_57.2
WS15103_WS15103_WS15103_57.3
WS15103_WS15103_WS15103_58
WS15103_WS15103_WS15103_59
WS15103_WS15103_WS15103_60
WS15103_WS15103_WS15103_61
WS15103_WS15103_WS15103_62
WS15103_WS15103_WS15103_63
WS15103_WS15103_WS15103_64
WS15103_WS15103_WS15103_65
WS15103_WS15103_WS15103_66
WS15103_WS15103_WS15103_67
WS15103_WS15103_WS15103_68
WS15103_WS15103_WS15103_69
WS15103_WS15103_WS15103_7
WS15103_WS15103_WS15103_70
WS15103_WS15103_WS15103_8
WS15103_WS15103_WS15103_9.5
WS15103_WS15103_WS15103_MR
WS15103_WS15103_WS15103_WS
WS15148_WS15148_WS15148_10
WS15148_WS15148_WS15148_12
WS15148_WS15148_WS15148_16
WS15148_WS15148_WS15148_18
WS15148_WS15148_WS15148_2
WS15148_WS15148_WS15148_21LK
WS15148_WS15148_WS15148_30
WS15148_WS15148_WS15148_31
WS15148_WS15148_WS15148_33
WS15148_WS15148_WS15148_41
WS15148_WS15148_WS15148_45
WS15148_WS15148_WS15148_49
WS15148_WS15148_WS15148_51
WS15148_WS15148_WS15148_53
WS15148_WS15148_WS15148_54
WS15148_WS15148_WS15148_55
WS15148_WS15148_WS15148_56
WS15148_WS15148_WS15148_57
WS15148_WS15148_WS15148_57.1
WS15148_WS15148_WS15148_57.2
WS15148_WS15148_WS15148_57.3
WS15148_WS15148_WS15148_58
WS15148_WS15148_WS15148_59
WS15148_WS15148_WS15148_60
WS15148_WS15148_WS15148_64
WS15148_WS15148_WS15148_65
WS15148_WS15148_WS15148_68
WS15148_WS15148_WS15148_7
WS15148_WS15148_WS15148_9
WS15148_WS15148_WS15148_9.5
WS15148_WS15148_WS15148_MR
WS15148_WS15148_WS15148_WS
WS15208_WS15208_WS15208_10
WS15208_WS15208_WS15208_12
WS15208_WS15208_WS15208_15
WS15208_WS15208_WS15208_15.5
WS15208_WS15208_WS15208_16
WS15208_WS15208_WS15208_18
WS15208_WS15208_WS15208_2
WS15208_WS15208_WS15208_21.5
WS15208_WS15208_WS15208_21LK
WS15208_WS15208_WS15208_22
WS15208_WS15208_WS15208_30
WS15208_WS15208_WS15208_31
WS15208_WS15208_WS15208_33
WS15208_WS15208_WS15208_41
WS15208_WS15208_WS15208_45
WS15208_WS15208_WS15208_49
WS15208_WS15208_WS15208_51
WS15208_WS15208_WS15208_53
WS15208_WS15208_WS15208_54
WS15208_WS15208_WS15208_55
WS15208_WS15208_WS15208_56
WS15208_WS15208_WS15208_57
WS15208_WS15208_WS15208_57.1
WS15208_WS15208_WS15208_57.2
WS15208_WS15208_WS15208_57.3
WS15208_WS15208_WS15208_58
WS15208_WS15208_WS15208_59
WS15208_WS15208_WS15208_6
WS15208_WS15208_WS15208_6.5
WS15208_WS15208_WS15208_60
WS15208_WS15208_WS15208_62
WS15208_WS15208_WS15208_64
WS15208_WS15208_WS15208_65
WS15208_WS15208_WS15208_68
WS15208_WS15208_WS15208_7
WS15208_WS15208_WS15208_9
WS15208_WS15208_WS15208_9.5
WS15208_WS15208_WS15208_9.6
WS15208_WS15208_WS15208_9.7
WS15208_WS15208_WS15208_9.8
WS15208_WS15208_WS15208_MR
WS15208_WS15208_WS15208_WS
WS15264_WS15264_WS15264_10
WS15264_WS15264_WS15264_12
WS15264_WS15264_WS15264_16
WS15264_WS15264_WS15264_18
WS15264_WS15264_WS15264_2
WS15264_WS15264_WS15264_21LK
WS15264_WS15264_WS15264_30
WS15264_WS15264_WS15264_31
WS15264_WS15264_WS15264_33
WS15264_WS15264_WS15264_41
WS15264_WS15264_WS15264_45
WS15264_WS15264_WS15264_49
WS15264_WS15264_WS15264_51
WS15264_WS15264_WS15264_53
WS15264_WS15264_WS15264_54
WS15264_WS15264_WS15264_55
WS15264_WS15264_WS15264_56
WS15264_WS15264_WS15264_57
WS15264_WS15264_WS15264_57.1
WS15264_WS15264_WS15264_57.2
WS15264_WS15264_WS15264_57.3
WS15264_WS15264_WS15264_58
WS15264_WS15264_WS15264_60
WS15264_WS15264_WS15264_64
WS15264_WS15264_WS15264_65
WS15264_WS15264_WS15264_68
WS15264_WS15264_WS15264_7
WS15264_WS15264_WS15264_8
WS15264_WS15264_WS15264_9
WS15264_WS15264_WS15264_9.5
WS15264_WS15264_WS15264_BK1
WS15264_WS15264_WS15264_MR
WS15264_WS15264_WS15264_WS
WS15320_WS15320_WS15320_10
WS15320_WS15320_WS15320_12
WS15320_WS15320_WS15320_16
WS15320_WS15320_WS15320_18
WS15320_WS15320_WS15320_2
WS15320_WS15320_WS15320_21LK
WS15320_WS15320_WS15320_30
WS15320_WS15320_WS15320_31
WS15320_WS15320_WS15320_33
WS15320_WS15320_WS15320_41
WS15320_WS15320_WS15320_45
WS15320_WS15320_WS15320_49
WS15320_WS15320_WS15320_51
WS15320_WS15320_WS15320_53
WS15320_WS15320_WS15320_54
WS15320_WS15320_WS15320_55
WS15320_WS15320_WS15320_56
WS15320_WS15320_WS15320_57
WS15320_WS15320_WS15320_57.1
WS15320_WS15320_WS15320_57.2
WS15320_WS15320_WS15320_57.3
WS15320_WS15320_WS15320_58
WS15320_WS15320_WS15320_60
WS15320_WS15320_WS15320_64
WS15320_WS15320_WS15320_65
WS15320_WS15320_WS15320_68
WS15320_WS15320_WS15320_9.5
WS15320_WS15320_WS15320_MR
WS15320_WS15320_WS15320_WS
WS16004_WS16004_WS16004_10
WS16004_WS16004_WS16004_12
WS16004_WS16004_WS16004_16
WS16004_WS16004_WS16004_18
WS16004_WS16004_WS16004_2
WS16004_WS16004_WS16004_21LK
WS16004_WS16004_WS16004_30
WS16004_WS16004_WS16004_31
WS16004_WS16004_WS16004_33
WS16004_WS16004_WS16004_41
WS16004_WS16004_WS16004_45
WS16004_WS16004_WS16004_49
WS16004_WS16004_WS16004_51
WS16004_WS16004_WS16004_53
WS16004_WS16004_WS16004_54
WS16004_WS16004_WS16004_55
WS16004_WS16004_WS16004_56
WS16004_WS16004_WS16004_57
WS16004_WS16004_WS16004_57.1
WS16004_WS16004_WS16004_57.2
WS16004_WS16004_WS16004_57.3
WS16004_WS16004_WS16004_58
WS16004_WS16004_WS16004_59
WS16004_WS16004_WS16004_60
WS16004_WS16004_WS16004_64
WS16004_WS16004_WS16004_65
WS16004_WS16004_WS16004_68
WS16004_WS16004_WS16004_7
WS16004_WS16004_WS16004_9
WS16004_WS16004_WS16004_9.5
WS16004_WS16004_WS16004_MR
WS16004_WS16004_WS16004_WS
WS16074_WS16074_WS16074_10
WS16074_WS16074_WS16074_12
WS16074_WS16074_WS16074_16
WS16074_WS16074_WS16074_18
WS16074_WS16074_WS16074_2
WS16074_WS16074_WS16074_21LK
WS16074_WS16074_WS16074_30
WS16074_WS16074_WS16074_31
WS16074_WS16074_WS16074_33
WS16074_WS16074_WS16074_41
WS16074_WS16074_WS16074_45
WS16074_WS16074_WS16074_49
WS16074_WS16074_WS16074_51
WS16074_WS16074_WS16074_53
WS16074_WS16074_WS16074_54
WS16074_WS16074_WS16074_55
WS16074_WS16074_WS16074_56
WS16074_WS16074_WS16074_57
WS16074_WS16074_WS16074_57.1
WS16074_WS16074_WS16074_57.2
WS16074_WS16074_WS16074_57.3
WS16074_WS16074_WS16074_58
WS16074_WS16074_WS16074_59
WS16074_WS16074_WS16074_60
WS16074_WS16074_WS16074_62
WS16074_WS16074_WS16074_64
WS16074_WS16074_WS16074_65
WS16074_WS16074_WS16074_68
WS16074_WS16074_WS16074_7
WS16074_WS16074_WS16074_9
WS16074_WS16074_WS16074_MR
WS16074_WS16074_WS16074_WS
WS16207_WS16207_WS16207_10
WS16207_WS16207_WS16207_12
WS16207_WS16207_WS16207_16
WS16207_WS16207_WS16207_18
WS16207_WS16207_WS16207_2
WS16207_WS16207_WS16207_21LK
WS16207_WS16207_WS16207_30
WS16207_WS16207_WS16207_31
WS16207_WS16207_WS16207_33
WS16207_WS16207_WS16207_41
WS16207_WS16207_WS16207_45
WS16207_WS16207_WS16207_49
WS16207_WS16207_WS16207_51
WS16207_WS16207_WS16207_53
WS16207_WS16207_WS16207_54
WS16207_WS16207_WS16207_55
WS16207_WS16207_WS16207_56
WS16207_WS16207_WS16207_57
WS16207_WS16207_WS16207_57.1
WS16207_WS16207_WS16207_57.2
WS16207_WS16207_WS16207_57.3
WS16207_WS16207_WS16207_58
WS16207_WS16207_WS16207_59
WS16207_WS16207_WS16207_60
WS16207_WS16207_WS16207_62
WS16207_WS16207_WS16207_64
WS16207_WS16207_WS16207_65
WS16207_WS16207_WS16207_68
WS16207_WS16207_WS16207_7
WS16207_WS16207_WS16207_9
WS16207_WS16207_WS16207_9.5
WS16207_WS16207_WS16207_MR
WS16207_WS16207_WS16207_WS
WS16263_WS16263_WS16263_10
WS16263_WS16263_WS16263_12
WS16263_WS16263_WS16263_16
WS16263_WS16263_WS16263_18
WS16263_WS16263_WS16263_2
WS16263_WS16263_WS16263_21LK
WS16263_WS16263_WS16263_30
WS16263_WS16263_WS16263_31
WS16263_WS16263_WS16263_33
WS16263_WS16263_WS16263_41
WS16263_WS16263_WS16263_45
WS16263_WS16263_WS16263_49
WS16263_WS16263_WS16263_51
WS16263_WS16263_WS16263_53
WS16263_WS16263_WS16263_54
WS16263_WS16263_WS16263_55
WS16263_WS16263_WS16263_56
WS16263_WS16263_WS16263_57
WS16263_WS16263_WS16263_57.1
WS16263_WS16263_WS16263_57.2
WS16263_WS16263_WS16263_57.3
WS16263_WS16263_WS16263_58
WS16263_WS16263_WS16263_59
WS16263_WS16263_WS16263_60
WS16263_WS16263_WS16263_62
WS16263_WS16263_WS16263_64
WS16263_WS16263_WS16263_65
WS16263_WS16263_WS16263_68
WS16263_WS16263_WS16263_7
WS16263_WS16263_WS16263_9
WS16263_WS16263_WS16263_9.5
WS16263_WS16263_WS16263_MR
WS16263_WS16263_WS16263_WS
WS16319_WS16319_WS16319_10
WS16319_WS16319_WS16319_12
WS16319_WS16319_WS16319_16
WS16319_WS16319_WS16319_18
WS16319_WS16319_WS16319_2
WS16319_WS16319_WS16319_21LK
WS16319_WS16319_WS16319_30
WS16319_WS16319_WS16319_31
WS16319_WS16319_WS16319_33
WS16319_WS16319_WS16319_41
WS16319_WS16319_WS16319_45
WS16319_WS16319_WS16319_49
WS16319_WS16319_WS16319_51
WS16319_WS16319_WS16319_53
WS16319_WS16319_WS16319_54
WS16319_WS16319_WS16319_55
WS16319_WS16319_WS16319_56
WS16319_WS16319_WS16319_57
WS16319_WS16319_WS16319_57.1
WS16319_WS16319_WS16319_57.2
WS16319_WS16319_WS16319_57.3
WS16319_WS16319_WS16319_58
WS16319_WS16319_WS16319_59
WS16319_WS16319_WS16319_60
WS16319_WS16319_WS16319_62
WS16319_WS16319_WS16319_64
WS16319_WS16319_WS16319_65
WS16319_WS16319_WS16319_68
WS16319_WS16319_WS16319_7
WS16319_WS16319_WS16319_9
WS16319_WS16319_WS16319_9.5
WS16319_WS16319_WS16319_MR
WS16319_WS16319_WS16319_WS
WS17030_WS17030_WS17030_10
WS17030_WS17030_WS17030_12
WS17030_WS17030_WS17030_16
WS17030_WS17030_WS17030_18
WS17030_WS17030_WS17030_2
WS17030_WS17030_WS17030_21LK
WS17030_WS17030_WS17030_30
WS17030_WS17030_WS17030_31
WS17030_WS17030_WS17030_33
WS17030_WS17030_WS17030_41
WS17030_WS17030_WS17030_45
WS17030_WS17030_WS17030_49
WS17030_WS17030_WS17030_51
WS17030_WS17030_WS17030_53
WS17030_WS17030_WS17030_54
WS17030_WS17030_WS17030_55
WS17030_WS17030_WS17030_56
WS17030_WS17030_WS17030_57
WS17030_WS17030_WS17030_57.1
WS17030_WS17030_WS17030_57.2
WS17030_WS17030_WS17030_57.3
WS17030_WS17030_WS17030_58
WS17030_WS17030_WS17030_59
WS17030_WS17030_WS17030_60
WS17030_WS17030_WS17030_62
WS17030_WS17030_WS17030_65
WS17030_WS17030_WS17030_68
WS17030_WS17030_WS17030_7
WS17030_WS17030_WS17030_9
WS17030_WS17030_WS17030_9.5
WS17030_WS17030_WS17030_MR
WS17030_WS17030_WS17030_WS
WS17086_WS17086_WS17086_10
WS17086_WS17086_WS17086_12
WS17086_WS17086_WS17086_16
WS17086_WS17086_WS17086_18
WS17086_WS17086_WS17086_2
WS17086_WS17086_WS17086_21LK
WS17086_WS17086_WS17086_3
WS17086_WS17086_WS17086_30
WS17086_WS17086_WS17086_31
WS17086_WS17086_WS17086_33
WS17086_WS17086_WS17086_41
WS17086_WS17086_WS17086_45
WS17086_WS17086_WS17086_49
WS17086_WS17086_WS17086_51
WS17086_WS17086_WS17086_53
WS17086_WS17086_WS17086_54
WS17086_WS17086_WS17086_55
WS17086_WS17086_WS17086_56
WS17086_WS17086_WS17086_57
WS17086_WS17086_WS17086_57.1
WS17086_WS17086_WS17086_57.2
WS17086_WS17086_WS17086_57.3
WS17086_WS17086_WS17086_58
WS17086_WS17086_WS17086_59
WS17086_WS17086_WS17086_60
WS17086_WS17086_WS17086_62
WS17086_WS17086_WS17086_64
WS17086_WS17086_WS17086_65
WS17086_WS17086_WS17086_68
WS17086_WS17086_WS17086_7
WS17086_WS17086_WS17086_9
WS17086_WS17086_WS17086_9.5
WS17086_WS17086_WS17086_MR
WS17086_WS17086_WS17086_WS
WS17170_WS17170_WS17170_10
WS17170_WS17170_WS17170_16
WS17170_WS17170_WS17170_21LK
WS17170_WS17170_WS17170_30
WS17170_WS17170_WS17170_31
WS17170_WS17170_WS17170_33
WS17170_WS17170_WS17170_41
WS17170_WS17170_WS17170_45
WS17170_WS17170_WS17170_49
WS17170_WS17170_WS17170_51
WS17170_WS17170_WS17170_53
WS17170_WS17170_WS17170_55
WS17170_WS17170_WS17170_56
WS17170_WS17170_WS17170_57
WS17170_WS17170_WS17170_57.1
WS17170_WS17170_WS17170_57.2
WS17170_WS17170_WS17170_57.3
WS17170_WS17170_WS17170_58
WS17170_WS17170_WS17170_59
WS17170_WS17170_WS17170_60
WS17170_WS17170_WS17170_62
WS17170_WS17170_WS17170_64
WS17170_WS17170_WS17170_65
WS17170_WS17170_WS17170_68
WS17170_WS17170_WS17170_7
WS17170_WS17170_WS17170_MR
WS17170_WS17170_WS17170_WS
WS17212_WS17212_WS17212_10
WS17212_WS17212_WS17212_12
WS17212_WS17212_WS17212_16
WS17212_WS17212_WS17212_18
WS17212_WS17212_WS17212_2
WS17212_WS17212_WS17212_21LK
WS17212_WS17212_WS17212_30
WS17212_WS17212_WS17212_31
WS17212_WS17212_WS17212_33
WS17212_WS17212_WS17212_41
WS17212_WS17212_WS17212_45
WS17212_WS17212_WS17212_54
WS17212_WS17212_WS17212_55
WS17212_WS17212_WS17212_56
WS17212_WS17212_WS17212_57
WS17212_WS17212_WS17212_57.1
WS17212_WS17212_WS17212_57.2
WS17212_WS17212_WS17212_57.3
WS17212_WS17212_WS17212_60
WS17212_WS17212_WS17212_62
WS17212_WS17212_WS17212_64
WS17212_WS17212_WS17212_65
WS17212_WS17212_WS17212_68
WS17212_WS17212_WS17212_7
WS17212_WS17212_WS17212_9
WS17212_WS17212_WS17212_9.5
WS17212_WS17212_WS17212_MR
WS17212_WS17212_WS17212_WS
WS17282_WS17282_WS17282_1
WS17282_WS17282_WS17282_10
WS17282_WS17282_WS17282_11
WS17282_WS17282_WS17282_12
WS17282_WS17282_WS17282_13
WS17282_WS17282_WS17282_14
WS17282_WS17282_WS17282_15
WS17282_WS17282_WS17282_15.5
WS17282_WS17282_WS17282_16
WS17282_WS17282_WS17282_17
WS17282_WS17282_WS17282_18
WS17282_WS17282_WS17282_19
WS17282_WS17282_WS17282_2
WS17282_WS17282_WS17282_20
WS17282_WS17282_WS17282_21.5
WS17282_WS17282_WS17282_21LK
WS17282_WS17282_WS17282_22
WS17282_WS17282_WS17282_22.5
WS17282_WS17282_WS17282_23
WS17282_WS17282_WS17282_24
WS17282_WS17282_WS17282_3
WS17282_WS17282_WS17282_30
WS17282_WS17282_WS17282_30.5
WS17282_WS17282_WS17282_31
WS17282_WS17282_WS17282_32
WS17282_WS17282_WS17282_33
WS17282_WS17282_WS17282_34
WS17282_WS17282_WS17282_39
WS17282_WS17282_WS17282_41
WS17282_WS17282_WS17282_42
WS17282_WS17282_WS17282_45
WS17282_WS17282_WS17282_47
WS17282_WS17282_WS17282_49
WS17282_WS17282_WS17282_5
WS17282_WS17282_WS17282_50
WS17282_WS17282_WS17282_51
WS17282_WS17282_WS17282_53
WS17282_WS17282_WS17282_54
WS17282_WS17282_WS17282_55
WS17282_WS17282_WS17282_56
WS17282_WS17282_WS17282_57
WS17282_WS17282_WS17282_57.1
WS17282_WS17282_WS17282_57.2
WS17282_WS17282_WS17282_57.3
WS17282_WS17282_WS17282_58
WS17282_WS17282_WS17282_59
WS17282_WS17282_WS17282_6
WS17282_WS17282_WS17282_6.5
WS17282_WS17282_WS17282_60
WS17282_WS17282_WS17282_61
WS17282_WS17282_WS17282_62
WS17282_WS17282_WS17282_63
WS17282_WS17282_WS17282_64
WS17282_WS17282_WS17282_65
WS17282_WS17282_WS17282_66
WS17282_WS17282_WS17282_67
WS17282_WS17282_WS17282_68
WS17282_WS17282_WS17282_69
WS17282_WS17282_WS17282_7
WS17282_WS17282_WS17282_70
WS17282_WS17282_WS17282_8
WS17282_WS17282_WS17282_9
WS17282_WS17282_WS17282_9.5
WS17282_WS17282_WS17282_EKIN
WS17282_WS17282_WS17282_EKOFF
WS17282_WS17282_WS17282_MR
WS17282_WS17282_WS17282_UKIN
WS17282_WS17282_WS17282_UKOFF
WS17282_WS17282_WS17282_WS
WS18008_WS18008_WS18008_10
WS18008_WS18008_WS18008_12
WS18008_WS18008_WS18008_16
WS18008_WS18008_WS18008_18
WS18008_WS18008_WS18008_21LK
WS18008_WS18008_WS18008_30
WS18008_WS18008_WS18008_31
WS18008_WS18008_WS18008_33
WS18008_WS18008_WS18008_41
WS18008_WS18008_WS18008_45
WS18008_WS18008_WS18008_49
WS18008_WS18008_WS18008_51
WS18008_WS18008_WS18008_53
WS18008_WS18008_WS18008_54
WS18008_WS18008_WS18008_55
WS18008_WS18008_WS18008_56
WS18008_WS18008_WS18008_57
WS18008_WS18008_WS18008_57.1
WS18008_WS18008_WS18008_57.2
WS18008_WS18008_WS18008_57.3
WS18008_WS18008_WS18008_58
WS18008_WS18008_WS18008_59
WS18008_WS18008_WS18008_60
WS18008_WS18008_WS18008_62
WS18008_WS18008_WS18008_64
WS18008_WS18008_WS18008_65
WS18008_WS18008_WS18008_68
WS18008_WS18008_WS18008_7
WS18008_WS18008_WS18008_9
WS18008_WS18008_WS18008_9.5
WS18008_WS18008_WS18008_MR
WS18008_WS18008_WS18008_WS
WS18120_WS18120_WS18120_10
WS18120_WS18120_WS18120_12
WS18120_WS18120_WS18120_16
WS18120_WS18120_WS18120_18
WS18120_WS18120_WS18120_2
WS18120_WS18120_WS18120_21LK
WS18120_WS18120_WS18120_30
WS18120_WS18120_WS18120_33
WS18120_WS18120_WS18120_41
WS18120_WS18120_WS18120_45
WS18120_WS18120_WS18120_49
WS18120_WS18120_WS18120_51
WS18120_WS18120_WS18120_53
WS18120_WS18120_WS18120_54
WS18120_WS18120_WS18120_55
WS18120_WS18120_WS18120_56
WS18120_WS18120_WS18120_57
WS18120_WS18120_WS18120_57.1
WS18120_WS18120_WS18120_57.2
WS18120_WS18120_WS18120_59
WS18120_WS18120_WS18120_62
WS18120_WS18120_WS18120_65
WS18120_WS18120_WS18120_68
WS18120_WS18120_WS18120_7
WS18120_WS18120_WS18120_9
WS18120_WS18120_WS18120_MR
WS18120_WS18120_WS18120_WS
WS18218_WS18218_WS18218_10
WS18218_WS18218_WS18218_12
WS18218_WS18218_WS18218_16
WS18218_WS18218_WS18218_18
WS18218_WS18218_WS18218_2
WS18218_WS18218_WS18218_21LK
WS18218_WS18218_WS18218_30
WS18218_WS18218_WS18218_31
WS18218_WS18218_WS18218_33
WS18218_WS18218_WS18218_41
WS18218_WS18218_WS18218_45
WS18218_WS18218_WS18218_49
WS18218_WS18218_WS18218_51
WS18218_WS18218_WS18218_53
WS18218_WS18218_WS18218_54
WS18218_WS18218_WS18218_55
WS18218_WS18218_WS18218_56
WS18218_WS18218_WS18218_57
WS18218_WS18218_WS18218_57.1
WS18218_WS18218_WS18218_57.2
WS18218_WS18218_WS18218_57.3
WS18218_WS18218_WS18218_58
WS18218_WS18218_WS18218_59
WS18218_WS18218_WS18218_60
WS18218_WS18218_WS18218_62
WS18218_WS18218_WS18218_64
WS18218_WS18218_WS18218_65
WS18218_WS18218_WS18218_68
WS18218_WS18218_WS18218_7
WS18218_WS18218_WS18218_9
WS18218_WS18218_WS18218_9.5
WS18218_WS18218_WS18218_MR
WS18218_WS18218_WS18218_WS
WS18285_WS18285_WS18285_16
WS18285_WS18285_WS18285_18
WS18285_WS18285_WS18285_2
WS18285_WS18285_WS18285_21.5
WS18285_WS18285_WS18285_21LK
WS18285_WS18285_WS18285_24
WS18285_WS18285_WS18285_30
WS18285_WS18285_WS18285_31
WS18285_WS18285_WS18285_33
WS18285_WS18285_WS18285_45
WS18285_WS18285_WS18285_51
WS18285_WS18285_WS18285_54
WS18285_WS18285_WS18285_57
WS18285_WS18285_WS18285_57.2
WS18285_WS18285_WS18285_57.3
WS18285_WS18285_WS18285_58
WS18285_WS18285_WS18285_59
WS18285_WS18285_WS18285_60
WS18285_WS18285_WS18285_68
WS18285_WS18285_WS18285_9
WS18285_WS18285_WS18285_CAL1
WS18285_WS18285_WS18285_CAL2
WS18285_WS18285_WS18285_CAL3
WS18285_WS18285_WS18285_CAL4
WS18285_WS18285_WS18285_CAL5
WS18285_WS18285_WS18285_CW1
WS18285_WS18285_WS18285_CW2
WS18285_WS18285_WS18285_CW3
WS18285_WS18285_WS18285_CW4
WS18285_WS18285_WS18285_GP1
WS18285_WS18285_WS18285_GP2
WS18285_WS18285_WS18285_GP3
WS18285_WS18285_WS18285_GP4
WS18285_WS18285_WS18285_GP5
WS18285_WS18285_WS18285_Junkpile
WS18285_WS18285_WS18285_KW1
WS18285_WS18285_WS18285_KW2
WS18285_WS18285_WS18285_KW4
WS18285_WS18285_WS18285_MR
WS18285_WS18285_WS18285_RP1
WS18285_WS18285_WS18285_RP2
WS18285_WS18285_WS18285_RP3
WS18285_WS18285_WS18285_RP4
WS18285_WS18285_WS18285_RedTide
WS18285_WS18285_WS18285_TB1
WS18285_WS18285_WS18285_TB2
WS18285_WS18285_WS18285_TB3
WS18285_WS18285_WS18285_TB4
WS18285_WS18285_WS18285_TB5
WS18285_WS18285_WS18285_TB6
WS18285_WS18285_WS18285_TB7
WS18285_WS18285_WS18285_TB8
WS18285_WS18285_WS18285_TB9
WS18285_WS18285_WS18285_WS
WS18285_WS18285_WS18285_Z03027
WS18285_WS18285_WS18285_Z03076
WS18285_WS18285_WS18285_Z03116
WS18285_WS18285_WS18285_Z03146
WS18285_WS18285_WS18285_Z03198
WS18285_WS18285_WS18285_Z04067
WS18285_WS18285_WS18285_Z04068
WS18285_WS18285_WS18285_Z04093
WS18285_WS18285_WS18285_Z04099
WS18285_WS18285_WS18285_Z04110
WS18285_WS18285_WS18285_Z04610
WS18351_WS18351_WS18351_10
WS18351_WS18351_WS18351_12
WS18351_WS18351_WS18351_16
WS18351_WS18351_WS18351_18
WS18351_WS18351_WS18351_2
WS18351_WS18351_WS18351_21LK
WS18351_WS18351_WS18351_7
WS18351_WS18351_WS18351_9
WS18351_WS18351_WS18351_9.5
WS18351_WS18351_WS18351_MR
WS18351_WS18351_WS18351_WS
WS19028_WS19028_WS19028_21LK
WS19028_WS19028_WS19028_30
WS19028_WS19028_WS19028_31
WS19028_WS19028_WS19028_33
WS19028_WS19028_WS19028_41
WS19028_WS19028_WS19028_45
WS19028_WS19028_WS19028_49
WS19028_WS19028_WS19028_51
WS19028_WS19028_WS19028_53
WS19028_WS19028_WS19028_54
WS19028_WS19028_WS19028_55
WS19028_WS19028_WS19028_56
WS19028_WS19028_WS19028_57
WS19028_WS19028_WS19028_57.1
WS19028_WS19028_WS19028_57.2
WS19028_WS19028_WS19028_57.3
WS19028_WS19028_WS19028_58
WS19028_WS19028_WS19028_60
WS19028_WS19028_WS19028_64
WS19028_WS19028_WS19028_CAL1
WS19028_WS19028_WS19028_CAL2
WS19028_WS19028_WS19028_CAL3
WS19028_WS19028_WS19028_CAL4
WS19028_WS19028_WS19028_CAL5
WS19028_WS19028_WS19028_GP1
WS19028_WS19028_WS19028_GP2
WS19028_WS19028_WS19028_GP3
WS19028_WS19028_WS19028_GP4
WS19028_WS19028_WS19028_GP5
WS19028_WS19028_WS19028_KW4
WS19028_WS19028_WS19028_MR
WS19028_WS19028_WS19028_RP1
WS19028_WS19028_WS19028_RP2
WS19028_WS19028_WS19028_RP3
WS19028_WS19028_WS19028_RP4
WS19028_WS19028_WS19028_V1
WS19028_WS19028_WS19028_V2
WS19028_WS19028_WS19028_V4
WS19028_WS19028_WS19028_V6
WS19028_WS19028_WS19028_WS
WS19119_WS19119_WS19119_10
WS19119_WS19119_WS19119_12
WS19119_WS19119_WS19119_16
WS19119_WS19119_WS19119_18
WS19119_WS19119_WS19119_2
WS19119_WS19119_WS19119_21LK
WS19119_WS19119_WS19119_30
WS19119_WS19119_WS19119_31
WS19119_WS19119_WS19119_33
WS19119_WS19119_WS19119_41
WS19119_WS19119_WS19119_45
WS19119_WS19119_WS19119_49
WS19119_WS19119_WS19119_54
WS19119_WS19119_WS19119_55
WS19119_WS19119_WS19119_56
WS19119_WS19119_WS19119_57
WS19119_WS19119_WS19119_57.1
WS19119_WS19119_WS19119_57.2
WS19119_WS19119_WS19119_57.3
WS19119_WS19119_WS19119_58
WS19119_WS19119_WS19119_60
WS19119_WS19119_WS19119_65
WS19119_WS19119_WS19119_68
WS19119_WS19119_WS19119_7
WS19119_WS19119_WS19119_9
WS19119_WS19119_WS19119_9.5
WS19119_WS19119_WS19119_CAL1
WS19119_WS19119_WS19119_CAL3
WS19119_WS19119_WS19119_CAL5
WS19119_WS19119_WS19119_Caseyhole
WS19119_WS19119_WS19119_GP1
WS19119_WS19119_WS19119_GP2
WS19119_WS19119_WS19119_GP3
WS19119_WS19119_WS19119_GP4
WS19119_WS19119_WS19119_GP5
WS19119_WS19119_WS19119_KW1
WS19119_WS19119_WS19119_KW2
WS19119_WS19119_WS19119_KW4
WS19119_WS19119_WS19119_MR
WS19119_WS19119_WS19119_Mudhole
WS19119_WS19119_WS19119_NaplesBlueHole
WS19119_WS19119_WS19119_RP1
WS19119_WS19119_WS19119_RP2
WS19119_WS19119_WS19119_RP3
WS19119_WS19119_WS19119_RP4
WS19119_WS19119_WS19119_WS
WS19210_WS19210_WS19210_10
WS19210_WS19210_WS19210_12
WS19210_WS19210_WS19210_16
WS19210_WS19210_WS19210_18
WS19210_WS19210_WS19210_2
WS19210_WS19210_WS19210_21LK
WS19210_WS19210_WS19210_30
WS19210_WS19210_WS19210_31
WS19210_WS19210_WS19210_33
WS19210_WS19210_WS19210_41
WS19210_WS19210_WS19210_45
WS19210_WS19210_WS19210_51
WS19210_WS19210_WS19210_54
WS19210_WS19210_WS19210_55
WS19210_WS19210_WS19210_56
WS19210_WS19210_WS19210_57
WS19210_WS19210_WS19210_57.1
WS19210_WS19210_WS19210_57.2
WS19210_WS19210_WS19210_57.3
WS19210_WS19210_WS19210_58
WS19210_WS19210_WS19210_60
WS19210_WS19210_WS19210_65
WS19210_WS19210_WS19210_68
WS19210_WS19210_WS19210_7
WS19210_WS19210_WS19210_9
WS19210_WS19210_WS19210_9.5
WS19210_WS19210_WS19210_CAL1
WS19210_WS19210_WS19210_CAL2
WS19210_WS19210_WS19210_CAL3
WS19210_WS19210_WS19210_CAL4
WS19210_WS19210_WS19210_CAL5
WS19210_WS19210_WS19210_GP1
WS19210_WS19210_WS19210_GP2
WS19210_WS19210_WS19210_GP3
WS19210_WS19210_WS19210_GP4
WS19210_WS19210_WS19210_GP5
WS19210_WS19210_WS19210_KW1
WS19210_WS19210_WS19210_KW2
WS19210_WS19210_WS19210_KW4
WS19210_WS19210_WS19210_MR
WS19210_WS19210_WS19210_RP1
WS19210_WS19210_WS19210_RP2
WS19210_WS19210_WS19210_RP3
WS19210_WS19210_WS19210_RP4
WS19210_WS19210_WS19210_WS
WS19266_WS19266_WS19266_10
WS19266_WS19266_WS19266_12
WS19266_WS19266_WS19266_16
WS19266_WS19266_WS19266_18
WS19266_WS19266_WS19266_2
WS19266_WS19266_WS19266_21LK
WS19266_WS19266_WS19266_30
WS19266_WS19266_WS19266_31
WS19266_WS19266_WS19266_33
WS19266_WS19266_WS19266_42
WS19266_WS19266_WS19266_45
WS19266_WS19266_WS19266_51
WS19266_WS19266_WS19266_53
WS19266_WS19266_WS19266_54
WS19266_WS19266_WS19266_55
WS19266_WS19266_WS19266_56
WS19266_WS19266_WS19266_57
WS19266_WS19266_WS19266_57.1
WS19266_WS19266_WS19266_57.2
WS19266_WS19266_WS19266_57.3
WS19266_WS19266_WS19266_58
WS19266_WS19266_WS19266_60
WS19266_WS19266_WS19266_68
WS19266_WS19266_WS19266_7
WS19266_WS19266_WS19266_9
WS19266_WS19266_WS19266_9.5
WS19266_WS19266_WS19266_BG2
WS19266_WS19266_WS19266_BG3
WS19266_WS19266_WS19266_BG4
WS19266_WS19266_WS19266_CAL1
WS19266_WS19266_WS19266_CAL2
WS19266_WS19266_WS19266_CAL3
WS19266_WS19266_WS19266_CAL4
WS19266_WS19266_WS19266_CAL5
WS19266_WS19266_WS19266_CAL6
WS19266_WS19266_WS19266_GP5
WS19266_WS19266_WS19266_KW1
WS19266_WS19266_WS19266_KW2
WS19266_WS19266_WS19266_KW4
WS19266_WS19266_WS19266_MR
WS19266_WS19266_WS19266_RP1
WS19266_WS19266_WS19266_RP2
WS19266_WS19266_WS19266_RP3
WS19266_WS19266_WS19266_RP4
WS19266_WS19266_WS19266_TB1
WS19266_WS19266_WS19266_TB10
WS19266_WS19266_WS19266_TB11
WS19266_WS19266_WS19266_TB12
WS19266_WS19266_WS19266_TB13
WS19266_WS19266_WS19266_TB2
WS19266_WS19266_WS19266_TB3
WS19266_WS19266_WS19266_TB4
WS19266_WS19266_WS19266_TB5
WS19266_WS19266_WS19266_V1
WS19266_WS19266_WS19266_V10
WS19266_WS19266_WS19266_V11
WS19266_WS19266_WS19266_V2
WS19266_WS19266_WS19266_V3
WS19266_WS19266_WS19266_V4
WS19266_WS19266_WS19266_V5
WS19266_WS19266_WS19266_V6
WS19266_WS19266_WS19266_V7
WS19266_WS19266_WS19266_V8
WS19266_WS19266_WS19266_V9
WS19266_WS19266_WS19266_WS
WS19322_WS19322_WS19322_10
WS19322_WS19322_WS19322_12
WS19322_WS19322_WS19322_16
WS19322_WS19322_WS19322_18
WS19322_WS19322_WS19322_2
WS19322_WS19322_WS19322_21LK
WS19322_WS19322_WS19322_30
WS19322_WS19322_WS19322_31
WS19322_WS19322_WS19322_33
WS19322_WS19322_WS19322_41
WS19322_WS19322_WS19322_45
WS19322_WS19322_WS19322_51
WS19322_WS19322_WS19322_54
WS19322_WS19322_WS19322_55
WS19322_WS19322_WS19322_56
WS19322_WS19322_WS19322_57
WS19322_WS19322_WS19322_57.1
WS19322_WS19322_WS19322_57.2
WS19322_WS19322_WS19322_57.3
WS19322_WS19322_WS19322_58
WS19322_WS19322_WS19322_60
WS19322_WS19322_WS19322_64
WS19322_WS19322_WS19322_65
WS19322_WS19322_WS19322_68
WS19322_WS19322_WS19322_7
WS19322_WS19322_WS19322_9
WS19322_WS19322_WS19322_9.5
WS19322_WS19322_WS19322_BG2
WS19322_WS19322_WS19322_BG3
WS19322_WS19322_WS19322_BG4
WS19322_WS19322_WS19322_CAL1
WS19322_WS19322_WS19322_CAL2
WS19322_WS19322_WS19322_CAL3
WS19322_WS19322_WS19322_CAL4
WS19322_WS19322_WS19322_CAL5
WS19322_WS19322_WS19322_CAL6
WS19322_WS19322_WS19322_CAL7
WS19322_WS19322_WS19322_CAL8
WS19322_WS19322_WS19322_CW1
WS19322_WS19322_WS19322_CW2
WS19322_WS19322_WS19322_CW3
WS19322_WS19322_WS19322_CW4
WS19322_WS19322_WS19322_CW5
WS19322_WS19322_WS19322_CW6
WS19322_WS19322_WS19322_GP5
WS19322_WS19322_WS19322_KW1
WS19322_WS19322_WS19322_KW2
WS19322_WS19322_WS19322_KW4
WS19322_WS19322_WS19322_MR
WS19322_WS19322_WS19322_RP1
WS19322_WS19322_WS19322_RP2
WS19322_WS19322_WS19322_RP3
WS19322_WS19322_WS19322_RP4
WS19322_WS19322_WS19322_TB1
WS19322_WS19322_WS19322_TB10
WS19322_WS19322_WS19322_TB2
WS19322_WS19322_WS19322_TB3
WS19322_WS19322_WS19322_TB4
WS19322_WS19322_WS19322_TB5
WS19322_WS19322_WS19322_TB6
WS19322_WS19322_WS19322_TB7
WS19322_WS19322_WS19322_TB8
WS19322_WS19322_WS19322_TB9
WS19322_WS19322_WS19322_V1
WS19322_WS19322_WS19322_V2
WS19322_WS19322_WS19322_V3
WS19322_WS19322_WS19322_V4
WS19322_WS19322_WS19322_V5
WS19322_WS19322_WS19322_V6
WS19322_WS19322_WS19322_V7
WS19322_WS19322_WS19322_V8
WS19322_WS19322_WS19322_V9
WS19322_WS19322_WS19322_WS
WS20006_WS20006_WS20006_10
WS20006_WS20006_WS20006_12
WS20006_WS20006_WS20006_16
WS20006_WS20006_WS20006_18
WS20006_WS20006_WS20006_2
WS20006_WS20006_WS20006_21.5
WS20006_WS20006_WS20006_21LK
WS20006_WS20006_WS20006_30
WS20006_WS20006_WS20006_31
WS20006_WS20006_WS20006_33
WS20006_WS20006_WS20006_41
WS20006_WS20006_WS20006_45
WS20006_WS20006_WS20006_51
WS20006_WS20006_WS20006_54
WS20006_WS20006_WS20006_55
WS20006_WS20006_WS20006_56
WS20006_WS20006_WS20006_57
WS20006_WS20006_WS20006_57.1
WS20006_WS20006_WS20006_57.2
WS20006_WS20006_WS20006_57.3
WS20006_WS20006_WS20006_58
WS20006_WS20006_WS20006_60
WS20006_WS20006_WS20006_64
WS20006_WS20006_WS20006_65
WS20006_WS20006_WS20006_68
WS20006_WS20006_WS20006_7
WS20006_WS20006_WS20006_9
WS20006_WS20006_WS20006_9.5
WS20006_WS20006_WS20006_BG2
WS20006_WS20006_WS20006_BG4
WS20006_WS20006_WS20006_CAL1
WS20006_WS20006_WS20006_CAL2
WS20006_WS20006_WS20006_CAL3
WS20006_WS20006_WS20006_CAL4
WS20006_WS20006_WS20006_CAL5
WS20006_WS20006_WS20006_CAL6
WS20006_WS20006_WS20006_GP5
WS20006_WS20006_WS20006_KW1
WS20006_WS20006_WS20006_KW2
WS20006_WS20006_WS20006_KW4
WS20006_WS20006_WS20006_MR
WS20006_WS20006_WS20006_RP1
WS20006_WS20006_WS20006_RP2
WS20006_WS20006_WS20006_RP3
WS20006_WS20006_WS20006_RP4
WS20006_WS20006_WS20006_V1
WS20006_WS20006_WS20006_V2
WS20006_WS20006_WS20006_V3
WS20006_WS20006_WS20006_V4
WS20006_WS20006_WS20006_V5
WS20006_WS20006_WS20006_V6
WS20006_WS20006_WS20006_V7
WS20006_WS20006_WS20006_V8
WS20006_WS20006_WS20006_V9
WS20006_WS20006_WS20006_WS
WS20231_WS20231_WS20231_1
WS20231_WS20231_WS20231_10
WS20231_WS20231_WS20231_12
WS20231_WS20231_WS20231_16
WS20231_WS20231_WS20231_18
WS20231_WS20231_WS20231_2
WS20231_WS20231_WS20231_21LK
WS20231_WS20231_WS20231_22
WS20231_WS20231_WS20231_24
WS20231_WS20231_WS20231_3
WS20231_WS20231_WS20231_30
WS20231_WS20231_WS20231_31
WS20231_WS20231_WS20231_33
WS20231_WS20231_WS20231_41
WS20231_WS20231_WS20231_45
WS20231_WS20231_WS20231_49
WS20231_WS20231_WS20231_51
WS20231_WS20231_WS20231_54
WS20231_WS20231_WS20231_55
WS20231_WS20231_WS20231_56
WS20231_WS20231_WS20231_57
WS20231_WS20231_WS20231_57.1
WS20231_WS20231_WS20231_60
WS20231_WS20231_WS20231_63
WS20231_WS20231_WS20231_68
WS20231_WS20231_WS20231_7
WS20231_WS20231_WS20231_9
WS20231_WS20231_WS20231_9.5
WS20231_WS20231_WS20231_BG2
WS20231_WS20231_WS20231_BG3
WS20231_WS20231_WS20231_BG4
WS20231_WS20231_WS20231_CAL1
WS20231_WS20231_WS20231_CAL2
WS20231_WS20231_WS20231_CAL3
WS20231_WS20231_WS20231_CAL4
WS20231_WS20231_WS20231_CAL5
WS20231_WS20231_WS20231_CAL6
WS20231_WS20231_WS20231_EB1
WS20231_WS20231_WS20231_EB2
WS20231_WS20231_WS20231_GP1.5
WS20231_WS20231_WS20231_GP5
WS20231_WS20231_WS20231_KW1
WS20231_WS20231_WS20231_KW2
WS20231_WS20231_WS20231_KW4
WS20231_WS20231_WS20231_MR
WS20231_WS20231_WS20231_RP1
WS20231_WS20231_WS20231_RP2
WS20231_WS20231_WS20231_RP3
WS20231_WS20231_WS20231_RP4
WS20231_WS20231_WS20231_WS
WS20279_WS20279_WS20279_10
WS20279_WS20279_WS20279_12
WS20279_WS20279_WS20279_16
WS20279_WS20279_WS20279_18
WS20279_WS20279_WS20279_2
WS20279_WS20279_WS20279_21LK
WS20279_WS20279_WS20279_30
WS20279_WS20279_WS20279_31
WS20279_WS20279_WS20279_41
WS20279_WS20279_WS20279_45
WS20279_WS20279_WS20279_51
WS20279_WS20279_WS20279_53
WS20279_WS20279_WS20279_54
WS20279_WS20279_WS20279_55
WS20279_WS20279_WS20279_56
WS20279_WS20279_WS20279_57
WS20279_WS20279_WS20279_57.1
WS20279_WS20279_WS20279_57.2
WS20279_WS20279_WS20279_57.3
WS20279_WS20279_WS20279_58
WS20279_WS20279_WS20279_60
WS20279_WS20279_WS20279_64
WS20279_WS20279_WS20279_65
WS20279_WS20279_WS20279_68
WS20279_WS20279_WS20279_7
WS20279_WS20279_WS20279_9
WS20279_WS20279_WS20279_9.5
WS20279_WS20279_WS20279_AMI1
WS20279_WS20279_WS20279_AMI2
WS20279_WS20279_WS20279_AMI3
WS20279_WS20279_WS20279_AMI4
WS20279_WS20279_WS20279_AMI5
WS20279_WS20279_WS20279_AMI6
WS20279_WS20279_WS20279_AMI7
WS20279_WS20279_WS20279_AMI8
WS20279_WS20279_WS20279_AMI9
WS20279_WS20279_WS20279_BG2
WS20279_WS20279_WS20279_BG3
WS20279_WS20279_WS20279_BG4
WS20279_WS20279_WS20279_CAL1
WS20279_WS20279_WS20279_CAL2
WS20279_WS20279_WS20279_CAL3
WS20279_WS20279_WS20279_CAL4
WS20279_WS20279_WS20279_CAL5
WS20279_WS20279_WS20279_CAL6
WS20279_WS20279_WS20279_GP5
WS20279_WS20279_WS20279_KW1
WS20279_WS20279_WS20279_KW2
WS20279_WS20279_WS20279_KW4
WS20279_WS20279_WS20279_MR
WS20279_WS20279_WS20279_RP1
WS20279_WS20279_WS20279_RP2
WS20279_WS20279_WS20279_RP3
WS20279_WS20279_WS20279_RP4
WS20279_WS20279_WS20279_TB1
WS20279_WS20279_WS20279_TB10
WS20279_WS20279_WS20279_TB11
WS20279_WS20279_WS20279_TB2
WS20279_WS20279_WS20279_TB3
WS20279_WS20279_WS20279_TB4
WS20279_WS20279_WS20279_TB5
WS20279_WS20279_WS20279_V1
WS20279_WS20279_WS20279_V2
WS20279_WS20279_WS20279_V3
WS20279_WS20279_WS20279_V4
WS20279_WS20279_WS20279_V5
WS20279_WS20279_WS20279_V6
WS20279_WS20279_WS20279_V7
WS20279_WS20279_WS20279_V8
WS20279_WS20279_WS20279_V9
WS20279_WS20279_WS20279_WS
WS20342_WS20342_WS20342_10
WS20342_WS20342_WS20342_12
WS20342_WS20342_WS20342_15
WS20342_WS20342_WS20342_15.5
WS20342_WS20342_WS20342_16
WS20342_WS20342_WS20342_18
WS20342_WS20342_WS20342_2
WS20342_WS20342_WS20342_21LK
WS20342_WS20342_WS20342_30
WS20342_WS20342_WS20342_31
WS20342_WS20342_WS20342_33
WS20342_WS20342_WS20342_41
WS20342_WS20342_WS20342_47
WS20342_WS20342_WS20342_49
WS20342_WS20342_WS20342_51
WS20342_WS20342_WS20342_53
WS20342_WS20342_WS20342_54
WS20342_WS20342_WS20342_55
WS20342_WS20342_WS20342_56
WS20342_WS20342_WS20342_57
WS20342_WS20342_WS20342_57.1
WS20342_WS20342_WS20342_57.2
WS20342_WS20342_WS20342_57.3
WS20342_WS20342_WS20342_58
WS20342_WS20342_WS20342_60
WS20342_WS20342_WS20342_64
WS20342_WS20342_WS20342_68
WS20342_WS20342_WS20342_7
WS20342_WS20342_WS20342_AMI1
WS20342_WS20342_WS20342_AMI2
WS20342_WS20342_WS20342_AMI3
WS20342_WS20342_WS20342_AMI4
WS20342_WS20342_WS20342_AMI5
WS20342_WS20342_WS20342_AMI6
WS20342_WS20342_WS20342_AMI7
WS20342_WS20342_WS20342_AMI8
WS20342_WS20342_WS20342_AMI9
WS20342_WS20342_WS20342_BG1
WS20342_WS20342_WS20342_BG2
WS20342_WS20342_WS20342_BG3
WS20342_WS20342_WS20342_BG4
WS20342_WS20342_WS20342_CAL1
WS20342_WS20342_WS20342_CAL2
WS20342_WS20342_WS20342_CAL3
WS20342_WS20342_WS20342_CAL4
WS20342_WS20342_WS20342_CAL5
WS20342_WS20342_WS20342_CAL6
WS20342_WS20342_WS20342_GP5
WS20342_WS20342_WS20342_KW1
WS20342_WS20342_WS20342_KW2
WS20342_WS20342_WS20342_KW4
WS20342_WS20342_WS20342_MR
WS20342_WS20342_WS20342_RP1
WS20342_WS20342_WS20342_RP2
WS20342_WS20342_WS20342_RP3
WS20342_WS20342_WS20342_RP4
WS20342_WS20342_WS20342_TB1
WS20342_WS20342_WS20342_TB2
WS20342_WS20342_WS20342_TB3
WS20342_WS20342_WS20342_TB4
WS20342_WS20342_WS20342_TB5
WS20342_WS20342_WS20342_V1
WS20342_WS20342_WS20342_V2
WS20342_WS20342_WS20342_V3
WS20342_WS20342_WS20342_V4
WS20342_WS20342_WS20342_V5
WS20342_WS20342_WS20342_V6
WS20342_WS20342_WS20342_V7
WS20342_WS20342_WS20342_V8
WS20342_WS20342_WS20342_V9
WS20342_WS20342_WS20342_WS
WS21032_WS21032_WS21032_12
WS21032_WS21032_WS21032_15.5
WS21032_WS21032_WS21032_18
WS21032_WS21032_WS21032_21LK
WS21032_WS21032_WS21032_30
WS21032_WS21032_WS21032_31
WS21032_WS21032_WS21032_33
WS21032_WS21032_WS21032_41
WS21032_WS21032_WS21032_45
WS21032_WS21032_WS21032_47
WS21032_WS21032_WS21032_49
WS21032_WS21032_WS21032_51
WS21032_WS21032_WS21032_53
WS21032_WS21032_WS21032_54
WS21032_WS21032_WS21032_55
WS21032_WS21032_WS21032_56
WS21032_WS21032_WS21032_57
WS21032_WS21032_WS21032_57.1
WS21032_WS21032_WS21032_57.2
WS21032_WS21032_WS21032_57.3
WS21032_WS21032_WS21032_58
WS21032_WS21032_WS21032_60
WS21032_WS21032_WS21032_64
WS21032_WS21032_WS21032_65
WS21032_WS21032_WS21032_68
WS21032_WS21032_WS21032_9
WS21032_WS21032_WS21032_9.5
WS21032_WS21032_WS21032_AMI1
WS21032_WS21032_WS21032_AMI2
WS21032_WS21032_WS21032_AMI3
WS21032_WS21032_WS21032_AMI4
WS21032_WS21032_WS21032_AMI5
WS21032_WS21032_WS21032_AMI6
WS21032_WS21032_WS21032_AMI7
WS21032_WS21032_WS21032_AMI8
WS21032_WS21032_WS21032_AMI9
WS21032_WS21032_WS21032_BG2
WS21032_WS21032_WS21032_BG3
WS21032_WS21032_WS21032_BG4
WS21032_WS21032_WS21032_CAL1
WS21032_WS21032_WS21032_CAL2
WS21032_WS21032_WS21032_CAL3
WS21032_WS21032_WS21032_CAL4
WS21032_WS21032_WS21032_CAL5
WS21032_WS21032_WS21032_CAL6
WS21032_WS21032_WS21032_GP5
WS21032_WS21032_WS21032_KW1
WS21032_WS21032_WS21032_KW2
WS21032_WS21032_WS21032_KW4
WS21032_WS21032_WS21032_MR
WS21032_WS21032_WS21032_RP1
WS21032_WS21032_WS21032_RP2
WS21032_WS21032_WS21032_RP3
WS21032_WS21032_WS21032_RP4
WS21032_WS21032_WS21032_TB1
WS21032_WS21032_WS21032_TB10
WS21032_WS21032_WS21032_TB2
WS21032_WS21032_WS21032_TB3
WS21032_WS21032_WS21032_TB4
WS21032_WS21032_WS21032_TB5
WS21032_WS21032_WS21032_V1
WS21032_WS21032_WS21032_V2
WS21032_WS21032_WS21032_V3
WS21032_WS21032_WS21032_V4
WS21032_WS21032_WS21032_V5
WS21032_WS21032_WS21032_V6
WS21032_WS21032_WS21032_V7
WS21032_WS21032_WS21032_V8
WS21032_WS21032_WS21032_V9
WS21032_WS21032_WS21032_WS
WS21093_WS21093_WS21093_10
WS21093_WS21093_WS21093_12
WS21093_WS21093_WS21093_16
WS21093_WS21093_WS21093_18
WS21093_WS21093_WS21093_2
WS21093_WS21093_WS21093_21LK
WS21093_WS21093_WS21093_30
WS21093_WS21093_WS21093_31
WS21093_WS21093_WS21093_33
WS21093_WS21093_WS21093_41
WS21093_WS21093_WS21093_45
WS21093_WS21093_WS21093_47
WS21093_WS21093_WS21093_51
WS21093_WS21093_WS21093_53
WS21093_WS21093_WS21093_54
WS21093_WS21093_WS21093_55
WS21093_WS21093_WS21093_56
WS21093_WS21093_WS21093_57
WS21093_WS21093_WS21093_57.1
WS21093_WS21093_WS21093_57.2
WS21093_WS21093_WS21093_57.3
WS21093_WS21093_WS21093_58
WS21093_WS21093_WS21093_60
WS21093_WS21093_WS21093_64
WS21093_WS21093_WS21093_65
WS21093_WS21093_WS21093_68
WS21093_WS21093_WS21093_7
WS21093_WS21093_WS21093_9
WS21093_WS21093_WS21093_AMI1
WS21093_WS21093_WS21093_AMI2
WS21093_WS21093_WS21093_AMI3
WS21093_WS21093_WS21093_AMI4
WS21093_WS21093_WS21093_AMI5
WS21093_WS21093_WS21093_AMI6
WS21093_WS21093_WS21093_AMI7
WS21093_WS21093_WS21093_AMI8
WS21093_WS21093_WS21093_AMI9
WS21093_WS21093_WS21093_BG1
WS21093_WS21093_WS21093_BG2
WS21093_WS21093_WS21093_BG3
WS21093_WS21093_WS21093_BG4
WS21093_WS21093_WS21093_CAL1
WS21093_WS21093_WS21093_CAL2
WS21093_WS21093_WS21093_CAL3
WS21093_WS21093_WS21093_CAL4
WS21093_WS21093_WS21093_CAL5
WS21093_WS21093_WS21093_CAL6
WS21093_WS21093_WS21093_GP5
WS21093_WS21093_WS21093_KW1
WS21093_WS21093_WS21093_KW2
WS21093_WS21093_WS21093_KW4
WS21093_WS21093_WS21093_MR
WS21093_WS21093_WS21093_RP1
WS21093_WS21093_WS21093_RP2
WS21093_WS21093_WS21093_RP3
WS21093_WS21093_WS21093_RP4
WS21093_WS21093_WS21093_TB1
WS21093_WS21093_WS21093_TB10
WS21093_WS21093_WS21093_TB2
WS21093_WS21093_WS21093_TB3
WS21093_WS21093_WS21093_TB4
WS21093_WS21093_WS21093_TB5
WS21093_WS21093_WS21093_V1
WS21093_WS21093_WS21093_V2
WS21093_WS21093_WS21093_V3
WS21093_WS21093_WS21093_V4
WS21093_WS21093_WS21093_V5
WS21093_WS21093_WS21093_V6
WS21093_WS21093_WS21093_V7
WS21093_WS21093_WS21093_V8
WS21093_WS21093_WS21093_V9
WS21093_WS21093_WS21093_WS
WS21151_WS21151_WS21151_1
WS21151_WS21151_WS21151_10
WS21151_WS21151_WS21151_12
WS21151_WS21151_WS21151_16
WS21151_WS21151_WS21151_18
WS21151_WS21151_WS21151_21LK
WS21151_WS21151_WS21151_30
WS21151_WS21151_WS21151_31
WS21151_WS21151_WS21151_33
WS21151_WS21151_WS21151_41
WS21151_WS21151_WS21151_45
WS21151_WS21151_WS21151_47
WS21151_WS21151_WS21151_49
WS21151_WS21151_WS21151_51
WS21151_WS21151_WS21151_53
WS21151_WS21151_WS21151_54
WS21151_WS21151_WS21151_55
WS21151_WS21151_WS21151_56
WS21151_WS21151_WS21151_57
WS21151_WS21151_WS21151_57.1
WS21151_WS21151_WS21151_57.2
WS21151_WS21151_WS21151_57.3
WS21151_WS21151_WS21151_58
WS21151_WS21151_WS21151_60
WS21151_WS21151_WS21151_64
WS21151_WS21151_WS21151_65
WS21151_WS21151_WS21151_68
WS21151_WS21151_WS21151_7
WS21151_WS21151_WS21151_9
WS21151_WS21151_WS21151_9.5
WS21151_WS21151_WS21151_AMI1
WS21151_WS21151_WS21151_AMI2
WS21151_WS21151_WS21151_AMI3
WS21151_WS21151_WS21151_AMI4
WS21151_WS21151_WS21151_AMI5
WS21151_WS21151_WS21151_AMI6
WS21151_WS21151_WS21151_AMI7
WS21151_WS21151_WS21151_AMI8
WS21151_WS21151_WS21151_AMI9
WS21151_WS21151_WS21151_BG1
WS21151_WS21151_WS21151_BG2
WS21151_WS21151_WS21151_BG3
WS21151_WS21151_WS21151_BG4
WS21151_WS21151_WS21151_CAL1
WS21151_WS21151_WS21151_CAL2
WS21151_WS21151_WS21151_CAL3
WS21151_WS21151_WS21151_CAL4
WS21151_WS21151_WS21151_CAL5
WS21151_WS21151_WS21151_CAL6
WS21151_WS21151_WS21151_CALA
WS21151_WS21151_WS21151_GP5
WS21151_WS21151_WS21151_GS
WS21151_WS21151_WS21151_KW1
WS21151_WS21151_WS21151_KW2
WS21151_WS21151_WS21151_KW4
WS21151_WS21151_WS21151_MR
WS21151_WS21151_WS21151_RP1
WS21151_WS21151_WS21151_RP2
WS21151_WS21151_WS21151_RP3
WS21151_WS21151_WS21151_RP4
WS21151_WS21151_WS21151_TB1
WS21151_WS21151_WS21151_TB10
WS21151_WS21151_WS21151_TB2
WS21151_WS21151_WS21151_TB3
WS21151_WS21151_WS21151_TB4
WS21151_WS21151_WS21151_TB5
WS21151_WS21151_WS21151_TBA
WS21151_WS21151_WS21151_TBB
WS21151_WS21151_WS21151_TBC
WS21151_WS21151_WS21151_V1
WS21151_WS21151_WS21151_V2
WS21151_WS21151_WS21151_V3
WS21151_WS21151_WS21151_V4
WS21151_WS21151_WS21151_V5
WS21151_WS21151_WS21151_V6
WS21151_WS21151_WS21151_V7
WS21151_WS21151_WS21151_V8
WS21151_WS21151_WS21151_V9
WS21151_WS21151_WS21151_WS
WS21212_WS21212_WS21212_10
WS21212_WS21212_WS21212_12
WS21212_WS21212_WS21212_16
WS21212_WS21212_WS21212_18
WS21212_WS21212_WS21212_2
WS21212_WS21212_WS21212_21LK
WS21212_WS21212_WS21212_30
WS21212_WS21212_WS21212_31
WS21212_WS21212_WS21212_33
WS21212_WS21212_WS21212_41
WS21212_WS21212_WS21212_45
WS21212_WS21212_WS21212_47
WS21212_WS21212_WS21212_49
WS21212_WS21212_WS21212_51
WS21212_WS21212_WS21212_54
WS21212_WS21212_WS21212_55
WS21212_WS21212_WS21212_56
WS21212_WS21212_WS21212_57
WS21212_WS21212_WS21212_57.1
WS21212_WS21212_WS21212_57.2
WS21212_WS21212_WS21212_57.3
WS21212_WS21212_WS21212_58
WS21212_WS21212_WS21212_60
WS21212_WS21212_WS21212_64
WS21212_WS21212_WS21212_65
WS21212_WS21212_WS21212_68
WS21212_WS21212_WS21212_7
WS21212_WS21212_WS21212_9
WS21212_WS21212_WS21212_9.5
WS21212_WS21212_WS21212_AMI1
WS21212_WS21212_WS21212_AMI2
WS21212_WS21212_WS21212_AMI3
WS21212_WS21212_WS21212_AMI4
WS21212_WS21212_WS21212_AMI5
WS21212_WS21212_WS21212_AMI6
WS21212_WS21212_WS21212_AMI7
WS21212_WS21212_WS21212_AMI8
WS21212_WS21212_WS21212_AMI9
WS21212_WS21212_WS21212_BG1
WS21212_WS21212_WS21212_BG2
WS21212_WS21212_WS21212_BG3
WS21212_WS21212_WS21212_BG4
WS21212_WS21212_WS21212_CAL1
WS21212_WS21212_WS21212_CAL2
WS21212_WS21212_WS21212_CAL3
WS21212_WS21212_WS21212_CAL4
WS21212_WS21212_WS21212_CAL5
WS21212_WS21212_WS21212_CAL6
WS21212_WS21212_WS21212_CW1
WS21212_WS21212_WS21212_CW2
WS21212_WS21212_WS21212_CW3
WS21212_WS21212_WS21212_CW4
WS21212_WS21212_WS21212_GP5
WS21212_WS21212_WS21212_KW1
WS21212_WS21212_WS21212_KW2
WS21212_WS21212_WS21212_KW4
WS21212_WS21212_WS21212_MR
WS21212_WS21212_WS21212_RP1
WS21212_WS21212_WS21212_RP2
WS21212_WS21212_WS21212_RP3
WS21212_WS21212_WS21212_RP4
WS21212_WS21212_WS21212_TB1
WS21212_WS21212_WS21212_TB10
WS21212_WS21212_WS21212_TB2
WS21212_WS21212_WS21212_TB3
WS21212_WS21212_WS21212_TB4
WS21212_WS21212_WS21212_TB5
WS21212_WS21212_WS21212_V1
WS21212_WS21212_WS21212_V2
WS21212_WS21212_WS21212_V3
WS21212_WS21212_WS21212_V4
WS21212_WS21212_WS21212_V5
WS21212_WS21212_WS21212_V6
WS21212_WS21212_WS21212_V7
WS21212_WS21212_WS21212_V8
WS21212_WS21212_WS21212_V9
WS21212_WS21212_WS21212_WS
WS21278_WS21278_WS21278_10
WS21278_WS21278_WS21278_12
WS21278_WS21278_WS21278_16
WS21278_WS21278_WS21278_18
WS21278_WS21278_WS21278_2
WS21278_WS21278_WS21278_21LK
WS21278_WS21278_WS21278_30
WS21278_WS21278_WS21278_31
WS21278_WS21278_WS21278_33
WS21278_WS21278_WS21278_41
WS21278_WS21278_WS21278_45
WS21278_WS21278_WS21278_47
WS21278_WS21278_WS21278_49
WS21278_WS21278_WS21278_51
WS21278_WS21278_WS21278_53
WS21278_WS21278_WS21278_54
WS21278_WS21278_WS21278_55
WS21278_WS21278_WS21278_56
WS21278_WS21278_WS21278_57
WS21278_WS21278_WS21278_57.1
WS21278_WS21278_WS21278_57.2
WS21278_WS21278_WS21278_57.3
WS21278_WS21278_WS21278_58
WS21278_WS21278_WS21278_60
WS21278_WS21278_WS21278_64
WS21278_WS21278_WS21278_65
WS21278_WS21278_WS21278_68
WS21278_WS21278_WS21278_7
WS21278_WS21278_WS21278_9
WS21278_WS21278_WS21278_9.5
WS21278_WS21278_WS21278_AMI1
WS21278_WS21278_WS21278_AMI2
WS21278_WS21278_WS21278_AMI3
WS21278_WS21278_WS21278_AMI4
WS21278_WS21278_WS21278_AMI5
WS21278_WS21278_WS21278_AMI6
WS21278_WS21278_WS21278_AMI7
WS21278_WS21278_WS21278_AMI8
WS21278_WS21278_WS21278_AMI9
WS21278_WS21278_WS21278_BG1
WS21278_WS21278_WS21278_BG2
WS21278_WS21278_WS21278_BG3
WS21278_WS21278_WS21278_BG4
WS21278_WS21278_WS21278_CAL1
WS21278_WS21278_WS21278_CAL2
WS21278_WS21278_WS21278_CAL3
WS21278_WS21278_WS21278_CAL4
WS21278_WS21278_WS21278_CAL5
WS21278_WS21278_WS21278_CAL6
WS21278_WS21278_WS21278_GP5
WS21278_WS21278_WS21278_KW1
WS21278_WS21278_WS21278_KW2
WS21278_WS21278_WS21278_KW4
WS21278_WS21278_WS21278_MR
WS21278_WS21278_WS21278_RP1
WS21278_WS21278_WS21278_RP2
WS21278_WS21278_WS21278_RP3
WS21278_WS21278_WS21278_RP4
WS21278_WS21278_WS21278_TB1
WS21278_WS21278_WS21278_TB10
WS21278_WS21278_WS21278_TB2
WS21278_WS21278_WS21278_TB3
WS21278_WS21278_WS21278_TB4
WS21278_WS21278_WS21278_TB5
WS21278_WS21278_WS21278_V1
WS21278_WS21278_WS21278_V2
WS21278_WS21278_WS21278_V3
WS21278_WS21278_WS21278_V4
WS21278_WS21278_WS21278_V5
WS21278_WS21278_WS21278_V6
WS21278_WS21278_WS21278_V7
WS21278_WS21278_WS21278_V8
WS21278_WS21278_WS21278_V9
WS21278_WS21278_WS21278_WS
WS21338_WS21338_WS21338_10
WS21338_WS21338_WS21338_12
WS21338_WS21338_WS21338_16
WS21338_WS21338_WS21338_18
WS21338_WS21338_WS21338_2
WS21338_WS21338_WS21338_21LK
WS21338_WS21338_WS21338_30
WS21338_WS21338_WS21338_31
WS21338_WS21338_WS21338_33
WS21338_WS21338_WS21338_41
WS21338_WS21338_WS21338_45
WS21338_WS21338_WS21338_51
WS21338_WS21338_WS21338_54
WS21338_WS21338_WS21338_55
WS21338_WS21338_WS21338_56
WS21338_WS21338_WS21338_57
WS21338_WS21338_WS21338_57.1
WS21338_WS21338_WS21338_57.2
WS21338_WS21338_WS21338_57.3
WS21338_WS21338_WS21338_58
WS21338_WS21338_WS21338_60
WS21338_WS21338_WS21338_64
WS21338_WS21338_WS21338_65
WS21338_WS21338_WS21338_68
WS21338_WS21338_WS21338_7
WS21338_WS21338_WS21338_9
WS21338_WS21338_WS21338_9.5
WS21338_WS21338_WS21338_AMI1
WS21338_WS21338_WS21338_AMI2
WS21338_WS21338_WS21338_AMI3
WS21338_WS21338_WS21338_AMI4
WS21338_WS21338_WS21338_AMI5
WS21338_WS21338_WS21338_AMI6
WS21338_WS21338_WS21338_AMI7
WS21338_WS21338_WS21338_AMI8
WS21338_WS21338_WS21338_AMI9
WS21338_WS21338_WS21338_BG1
WS21338_WS21338_WS21338_BG2
WS21338_WS21338_WS21338_BG3
WS21338_WS21338_WS21338_BG4
WS21338_WS21338_WS21338_CAL1
WS21338_WS21338_WS21338_CAL2
WS21338_WS21338_WS21338_CAL3
WS21338_WS21338_WS21338_CAL4
WS21338_WS21338_WS21338_CAL5
WS21338_WS21338_WS21338_CAL6
WS21338_WS21338_WS21338_EH07
WS21338_WS21338_WS21338_EH08
WS21338_WS21338_WS21338_GP5
WS21338_WS21338_WS21338_KW1
WS21338_WS21338_WS21338_KW2
WS21338_WS21338_WS21338_KW4
WS21338_WS21338_WS21338_MR
WS21338_WS21338_WS21338_RP1
WS21338_WS21338_WS21338_RP2
WS21338_WS21338_WS21338_RP3
WS21338_WS21338_WS21338_RP4
WS21338_WS21338_WS21338_TB1
WS21338_WS21338_WS21338_TB10
WS21338_WS21338_WS21338_TB2
WS21338_WS21338_WS21338_TB3
WS21338_WS21338_WS21338_TB4
WS21338_WS21338_WS21338_TB5
WS21338_WS21338_WS21338_V1
WS21338_WS21338_WS21338_V2
WS21338_WS21338_WS21338_V3
WS21338_WS21338_WS21338_V4
WS21338_WS21338_WS21338_V5
WS21338_WS21338_WS21338_V6
WS21338_WS21338_WS21338_V7
WS21338_WS21338_WS21338_V8
WS21338_WS21338_WS21338_V9
WS21338_WS21338_WS21338_WS
WS22022_WS22022_WS22022_10
WS22022_WS22022_WS22022_12
WS22022_WS22022_WS22022_16
WS22022_WS22022_WS22022_18
WS22022_WS22022_WS22022_2
WS22022_WS22022_WS22022_21LK
WS22022_WS22022_WS22022_30
WS22022_WS22022_WS22022_31
WS22022_WS22022_WS22022_33
WS22022_WS22022_WS22022_41
WS22022_WS22022_WS22022_45
WS22022_WS22022_WS22022_47
WS22022_WS22022_WS22022_49
WS22022_WS22022_WS22022_51
WS22022_WS22022_WS22022_53
WS22022_WS22022_WS22022_54
WS22022_WS22022_WS22022_55
WS22022_WS22022_WS22022_56
WS22022_WS22022_WS22022_57
WS22022_WS22022_WS22022_57.1
WS22022_WS22022_WS22022_57.2
WS22022_WS22022_WS22022_57.3
WS22022_WS22022_WS22022_58
WS22022_WS22022_WS22022_60
WS22022_WS22022_WS22022_64
WS22022_WS22022_WS22022_65
WS22022_WS22022_WS22022_68
WS22022_WS22022_WS22022_7
WS22022_WS22022_WS22022_9
WS22022_WS22022_WS22022_9.5
WS22022_WS22022_WS22022_AMI1
WS22022_WS22022_WS22022_AMI2
WS22022_WS22022_WS22022_AMI3
WS22022_WS22022_WS22022_AMI6
WS22022_WS22022_WS22022_AMI7
WS22022_WS22022_WS22022_AMI8
WS22022_WS22022_WS22022_AMI9
WS22022_WS22022_WS22022_BG1
WS22022_WS22022_WS22022_BG2
WS22022_WS22022_WS22022_BG3
WS22022_WS22022_WS22022_BG4
WS22022_WS22022_WS22022_CAL1
WS22022_WS22022_WS22022_CAL2
WS22022_WS22022_WS22022_CAL3
WS22022_WS22022_WS22022_CAL4
WS22022_WS22022_WS22022_CAL5
WS22022_WS22022_WS22022_CAL6
WS22022_WS22022_WS22022_GP5
WS22022_WS22022_WS22022_KW1
WS22022_WS22022_WS22022_KW2
WS22022_WS22022_WS22022_KW4
WS22022_WS22022_WS22022_MR
WS22022_WS22022_WS22022_RP1
WS22022_WS22022_WS22022_RP2
WS22022_WS22022_WS22022_RP3
WS22022_WS22022_WS22022_RP4
WS22022_WS22022_WS22022_TB1
WS22022_WS22022_WS22022_TB10
WS22022_WS22022_WS22022_TB2
WS22022_WS22022_WS22022_TB3
WS22022_WS22022_WS22022_TB4
WS22022_WS22022_WS22022_TB5
WS22022_WS22022_WS22022_V1
WS22022_WS22022_WS22022_V2
WS22022_WS22022_WS22022_V3
WS22022_WS22022_WS22022_V4
WS22022_WS22022_WS22022_V5
WS22022_WS22022_WS22022_V6
WS22022_WS22022_WS22022_V7
WS22022_WS22022_WS22022_V8
WS22022_WS22022_WS22022_V9
WS22022_WS22022_WS22022_WS
WS22072_WS22072_WS22072_10
WS22072_WS22072_WS22072_12
WS22072_WS22072_WS22072_16
WS22072_WS22072_WS22072_18
WS22072_WS22072_WS22072_2
WS22072_WS22072_WS22072_21LK
WS22072_WS22072_WS22072_3
WS22072_WS22072_WS22072_30
WS22072_WS22072_WS22072_31
WS22072_WS22072_WS22072_33
WS22072_WS22072_WS22072_41
WS22072_WS22072_WS22072_45
WS22072_WS22072_WS22072_47
WS22072_WS22072_WS22072_49
WS22072_WS22072_WS22072_51
WS22072_WS22072_WS22072_53
WS22072_WS22072_WS22072_54
WS22072_WS22072_WS22072_55
WS22072_WS22072_WS22072_56
WS22072_WS22072_WS22072_57
WS22072_WS22072_WS22072_57.1
WS22072_WS22072_WS22072_57.2
WS22072_WS22072_WS22072_57.3
WS22072_WS22072_WS22072_58
WS22072_WS22072_WS22072_6.5
WS22072_WS22072_WS22072_60
WS22072_WS22072_WS22072_64
WS22072_WS22072_WS22072_65
WS22072_WS22072_WS22072_68
WS22072_WS22072_WS22072_7
WS22072_WS22072_WS22072_9
WS22072_WS22072_WS22072_9.5
WS22072_WS22072_WS22072_AMI1
WS22072_WS22072_WS22072_AMI2
WS22072_WS22072_WS22072_AMI3
WS22072_WS22072_WS22072_AMI4
WS22072_WS22072_WS22072_AMI5
WS22072_WS22072_WS22072_AMI6
WS22072_WS22072_WS22072_AMI7
WS22072_WS22072_WS22072_AMI8
WS22072_WS22072_WS22072_AMI9
WS22072_WS22072_WS22072_BG1
WS22072_WS22072_WS22072_BG2
WS22072_WS22072_WS22072_BG3
WS22072_WS22072_WS22072_BG4
WS22072_WS22072_WS22072_CAL1
WS22072_WS22072_WS22072_CAL2
WS22072_WS22072_WS22072_CAL3
WS22072_WS22072_WS22072_CAL4
WS22072_WS22072_WS22072_CAL5
WS22072_WS22072_WS22072_CAL6
WS22072_WS22072_WS22072_EKIN
WS22072_WS22072_WS22072_EKMID
WS22072_WS22072_WS22072_EKOFF
WS22072_WS22072_WS22072_GP5
WS22072_WS22072_WS22072_KW1
WS22072_WS22072_WS22072_KW2
WS22072_WS22072_WS22072_KW4
WS22072_WS22072_WS22072_MR
WS22072_WS22072_WS22072_RP1
WS22072_WS22072_WS22072_RP2
WS22072_WS22072_WS22072_RP3
WS22072_WS22072_WS22072_RP4
WS22072_WS22072_WS22072_TB1
WS22072_WS22072_WS22072_TB10
WS22072_WS22072_WS22072_TB12
WS22072_WS22072_WS22072_TB2
WS22072_WS22072_WS22072_TB3
WS22072_WS22072_WS22072_TB4
WS22072_WS22072_WS22072_TB5
WS22072_WS22072_WS22072_V1
WS22072_WS22072_WS22072_V2
WS22072_WS22072_WS22072_V3
WS22072_WS22072_WS22072_V4
WS22072_WS22072_WS22072_V5
WS22072_WS22072_WS22072_V6
WS22072_WS22072_WS22072_V7
WS22072_WS22072_WS22072_V8
WS22072_WS22072_WS22072_V9
WS22072_WS22072_WS22072_WS
WS22141_WS22141_WS22141_10
WS22141_WS22141_WS22141_12
WS22141_WS22141_WS22141_16
WS22141_WS22141_WS22141_18
WS22141_WS22141_WS22141_2
WS22141_WS22141_WS22141_21LK
WS22141_WS22141_WS22141_30
WS22141_WS22141_WS22141_31
WS22141_WS22141_WS22141_33
WS22141_WS22141_WS22141_41
WS22141_WS22141_WS22141_45
WS22141_WS22141_WS22141_47
WS22141_WS22141_WS22141_49
WS22141_WS22141_WS22141_51
WS22141_WS22141_WS22141_53
WS22141_WS22141_WS22141_54
WS22141_WS22141_WS22141_55
WS22141_WS22141_WS22141_56
WS22141_WS22141_WS22141_57
WS22141_WS22141_WS22141_57.1
WS22141_WS22141_WS22141_57.2
WS22141_WS22141_WS22141_57.3
WS22141_WS22141_WS22141_58
WS22141_WS22141_WS22141_60
WS22141_WS22141_WS22141_64
WS22141_WS22141_WS22141_65
WS22141_WS22141_WS22141_68
WS22141_WS22141_WS22141_7
WS22141_WS22141_WS22141_9
WS22141_WS22141_WS22141_9.5
WS22141_WS22141_WS22141_AMI1
WS22141_WS22141_WS22141_AMI2
WS22141_WS22141_WS22141_AMI3
WS22141_WS22141_WS22141_AMI4
WS22141_WS22141_WS22141_AMI5
WS22141_WS22141_WS22141_AMI6
WS22141_WS22141_WS22141_AMI7
WS22141_WS22141_WS22141_AMI8
WS22141_WS22141_WS22141_AMI9
WS22141_WS22141_WS22141_BG1
WS22141_WS22141_WS22141_BG2
WS22141_WS22141_WS22141_BG3
WS22141_WS22141_WS22141_BG4
WS22141_WS22141_WS22141_CAL1
WS22141_WS22141_WS22141_CAL2
WS22141_WS22141_WS22141_CAL3
WS22141_WS22141_WS22141_CAL4
WS22141_WS22141_WS22141_CAL5
WS22141_WS22141_WS22141_GP5
WS22141_WS22141_WS22141_KW1
WS22141_WS22141_WS22141_KW2
WS22141_WS22141_WS22141_KW4
WS22141_WS22141_WS22141_MR
WS22141_WS22141_WS22141_RP1
WS22141_WS22141_WS22141_RP2
WS22141_WS22141_WS22141_RP3
WS22141_WS22141_WS22141_RP4
WS22141_WS22141_WS22141_TB1
WS22141_WS22141_WS22141_TB10
WS22141_WS22141_WS22141_TB2
WS22141_WS22141_WS22141_TB3
WS22141_WS22141_WS22141_TB4
WS22141_WS22141_WS22141_TB5
WS22141_WS22141_WS22141_V1
WS22141_WS22141_WS22141_V2
WS22141_WS22141_WS22141_V3
WS22141_WS22141_WS22141_V4
WS22141_WS22141_WS22141_V5
WS22141_WS22141_WS22141_V6
WS22141_WS22141_WS22141_V7
WS22141_WS22141_WS22141_V8
WS22141_WS22141_WS22141_V9
WS22141_WS22141_WS22141_WS
WS22281_WS22281_WS22281_10
WS22281_WS22281_WS22281_12
WS22281_WS22281_WS22281_16
WS22281_WS22281_WS22281_18
WS22281_WS22281_WS22281_2
WS22281_WS22281_WS22281_21LK
WS22281_WS22281_WS22281_30
WS22281_WS22281_WS22281_31
WS22281_WS22281_WS22281_33
WS22281_WS22281_WS22281_41
WS22281_WS22281_WS22281_45
WS22281_WS22281_WS22281_47
WS22281_WS22281_WS22281_49
WS22281_WS22281_WS22281_51
WS22281_WS22281_WS22281_53
WS22281_WS22281_WS22281_54
WS22281_WS22281_WS22281_55
WS22281_WS22281_WS22281_56
WS22281_WS22281_WS22281_57
WS22281_WS22281_WS22281_57.1
WS22281_WS22281_WS22281_57.2
WS22281_WS22281_WS22281_57.3
WS22281_WS22281_WS22281_58
WS22281_WS22281_WS22281_60
WS22281_WS22281_WS22281_64
WS22281_WS22281_WS22281_65
WS22281_WS22281_WS22281_68
WS22281_WS22281_WS22281_7
WS22281_WS22281_WS22281_9
WS22281_WS22281_WS22281_9.5
WS22281_WS22281_WS22281_AMI1
WS22281_WS22281_WS22281_AMI2
WS22281_WS22281_WS22281_AMI3
WS22281_WS22281_WS22281_AMI4
WS22281_WS22281_WS22281_AMI5
WS22281_WS22281_WS22281_AMI6
WS22281_WS22281_WS22281_AMI7
WS22281_WS22281_WS22281_AMI8
WS22281_WS22281_WS22281_AMI9
WS22281_WS22281_WS22281_BG1
WS22281_WS22281_WS22281_BG2
WS22281_WS22281_WS22281_BG3
WS22281_WS22281_WS22281_BG4
WS22281_WS22281_WS22281_CAL1
WS22281_WS22281_WS22281_CAL2
WS22281_WS22281_WS22281_CAL3
WS22281_WS22281_WS22281_CAL4
WS22281_WS22281_WS22281_CAL5
WS22281_WS22281_WS22281_CAL6
WS22281_WS22281_WS22281_GP5
WS22281_WS22281_WS22281_Glider
WS22281_WS22281_WS22281_KW1
WS22281_WS22281_WS22281_KW2
WS22281_WS22281_WS22281_KW4
WS22281_WS22281_WS22281_L9
WS22281_WS22281_WS22281_MR
WS22281_WS22281_WS22281_RP1
WS22281_WS22281_WS22281_RP2
WS22281_WS22281_WS22281_RP3
WS22281_WS22281_WS22281_RP4
WS22281_WS22281_WS22281_TB1
WS22281_WS22281_WS22281_TB10
WS22281_WS22281_WS22281_TB2
WS22281_WS22281_WS22281_TB3
WS22281_WS22281_WS22281_TB4
WS22281_WS22281_WS22281_TB5
WS22281_WS22281_WS22281_V1
WS22281_WS22281_WS22281_V2
WS22281_WS22281_WS22281_V3
WS22281_WS22281_WS22281_V4
WS22281_WS22281_WS22281_V5
WS22281_WS22281_WS22281_V6
WS22281_WS22281_WS22281_V7
WS22281_WS22281_WS22281_V8
WS22281_WS22281_WS22281_V9
WS22281_WS22281_WS22281_WS
WS22337_WS22337_WS22337_10
WS22337_WS22337_WS22337_12
WS22337_WS22337_WS22337_16
WS22337_WS22337_WS22337_18
WS22337_WS22337_WS22337_2
WS22337_WS22337_WS22337_21LK
WS22337_WS22337_WS22337_30
WS22337_WS22337_WS22337_31
WS22337_WS22337_WS22337_33
WS22337_WS22337_WS22337_41
WS22337_WS22337_WS22337_45
WS22337_WS22337_WS22337_47
WS22337_WS22337_WS22337_49
WS22337_WS22337_WS22337_51
WS22337_WS22337_WS22337_53
WS22337_WS22337_WS22337_54
WS22337_WS22337_WS22337_55
WS22337_WS22337_WS22337_56
WS22337_WS22337_WS22337_57
WS22337_WS22337_WS22337_57.1
WS22337_WS22337_WS22337_57.2
WS22337_WS22337_WS22337_57.3
WS22337_WS22337_WS22337_58
WS22337_WS22337_WS22337_60
WS22337_WS22337_WS22337_64
WS22337_WS22337_WS22337_65
WS22337_WS22337_WS22337_68
WS22337_WS22337_WS22337_7
WS22337_WS22337_WS22337_9
WS22337_WS22337_WS22337_9.5
WS22337_WS22337_WS22337_AMI1
WS22337_WS22337_WS22337_AMI2
WS22337_WS22337_WS22337_AMI3
WS22337_WS22337_WS22337_AMI4
WS22337_WS22337_WS22337_AMI5
WS22337_WS22337_WS22337_AMI6
WS22337_WS22337_WS22337_AMI7
WS22337_WS22337_WS22337_AMI8
WS22337_WS22337_WS22337_AMI9
WS22337_WS22337_WS22337_BG1
WS22337_WS22337_WS22337_BG2
WS22337_WS22337_WS22337_BG3
WS22337_WS22337_WS22337_BG4
WS22337_WS22337_WS22337_CAL1
WS22337_WS22337_WS22337_CAL2
WS22337_WS22337_WS22337_CAL3
WS22337_WS22337_WS22337_CAL4
WS22337_WS22337_WS22337_CAL5
WS22337_WS22337_WS22337_CAL6
WS22337_WS22337_WS22337_CW1
WS22337_WS22337_WS22337_CW2
WS22337_WS22337_WS22337_CW3
WS22337_WS22337_WS22337_CW4
WS22337_WS22337_WS22337_GP5
WS22337_WS22337_WS22337_KW1
WS22337_WS22337_WS22337_KW2
WS22337_WS22337_WS22337_KW4
WS22337_WS22337_WS22337_L1
WS22337_WS22337_WS22337_L3
WS22337_WS22337_WS22337_L5
WS22337_WS22337_WS22337_L7
WS22337_WS22337_WS22337_L9
WS22337_WS22337_WS22337_MR
WS22337_WS22337_WS22337_RP1
WS22337_WS22337_WS22337_RP2
WS22337_WS22337_WS22337_RP3
WS22337_WS22337_WS22337_RP4
WS22337_WS22337_WS22337_TB1
WS22337_WS22337_WS22337_TB10
WS22337_WS22337_WS22337_TB2
WS22337_WS22337_WS22337_TB3
WS22337_WS22337_WS22337_TB4
WS22337_WS22337_WS22337_TB5
WS22337_WS22337_WS22337_V1
WS22337_WS22337_WS22337_V2
WS22337_WS22337_WS22337_V3
WS22337_WS22337_WS22337_V4
WS22337_WS22337_WS22337_V5
WS22337_WS22337_WS22337_V6
WS22337_WS22337_WS22337_V7
WS22337_WS22337_WS22337_V8
WS22337_WS22337_WS22337_V9
WS22337_WS22337_WS22337_WS
WS23011_WS23011_WS23011_10
WS23011_WS23011_WS23011_12
WS23011_WS23011_WS23011_16
WS23011_WS23011_WS23011_18
WS23011_WS23011_WS23011_2
WS23011_WS23011_WS23011_21LK
WS23011_WS23011_WS23011_30
WS23011_WS23011_WS23011_31
WS23011_WS23011_WS23011_33
WS23011_WS23011_WS23011_41
WS23011_WS23011_WS23011_45
WS23011_WS23011_WS23011_47
WS23011_WS23011_WS23011_49
WS23011_WS23011_WS23011_51
WS23011_WS23011_WS23011_53
WS23011_WS23011_WS23011_54
WS23011_WS23011_WS23011_55
WS23011_WS23011_WS23011_56
WS23011_WS23011_WS23011_57
WS23011_WS23011_WS23011_57.1
WS23011_WS23011_WS23011_57.2
WS23011_WS23011_WS23011_57.3
WS23011_WS23011_WS23011_58
WS23011_WS23011_WS23011_60
WS23011_WS23011_WS23011_64
WS23011_WS23011_WS23011_65
WS23011_WS23011_WS23011_68
WS23011_WS23011_WS23011_7
WS23011_WS23011_WS23011_9
WS23011_WS23011_WS23011_9.5
WS23011_WS23011_WS23011_AMI1
WS23011_WS23011_WS23011_AMI2
WS23011_WS23011_WS23011_AMI3
WS23011_WS23011_WS23011_AMI4
WS23011_WS23011_WS23011_AMI5
WS23011_WS23011_WS23011_AMI6
WS23011_WS23011_WS23011_AMI7
WS23011_WS23011_WS23011_AMI8
WS23011_WS23011_WS23011_AMI9
WS23011_WS23011_WS23011_BG1
WS23011_WS23011_WS23011_BG2
WS23011_WS23011_WS23011_BG3
WS23011_WS23011_WS23011_BG4
WS23011_WS23011_WS23011_CAL1
WS23011_WS23011_WS23011_CAL2
WS23011_WS23011_WS23011_CAL3
WS23011_WS23011_WS23011_CAL4
WS23011_WS23011_WS23011_CAL5
WS23011_WS23011_WS23011_CAL6
WS23011_WS23011_WS23011_CW1
WS23011_WS23011_WS23011_CW2
WS23011_WS23011_WS23011_CW3
WS23011_WS23011_WS23011_CW4
WS23011_WS23011_WS23011_GP5
WS23011_WS23011_WS23011_KW1
WS23011_WS23011_WS23011_KW2
WS23011_WS23011_WS23011_KW4
WS23011_WS23011_WS23011_MR
WS23011_WS23011_WS23011_RP1
WS23011_WS23011_WS23011_RP2
WS23011_WS23011_WS23011_RP3
WS23011_WS23011_WS23011_RP4
WS23011_WS23011_WS23011_TB1
WS23011_WS23011_WS23011_TB10
WS23011_WS23011_WS23011_TB2
WS23011_WS23011_WS23011_TB3
WS23011_WS23011_WS23011_TB4
WS23011_WS23011_WS23011_TB5
WS23011_WS23011_WS23011_V1
WS23011_WS23011_WS23011_V2
WS23011_WS23011_WS23011_V3
WS23011_WS23011_WS23011_V4
WS23011_WS23011_WS23011_V5
WS23011_WS23011_WS23011_V6
WS23011_WS23011_WS23011_V7
WS23011_WS23011_WS23011_V8
WS23011_WS23011_WS23011_V9
WS23011_WS23011_WS23011_WS
WS23061_WS23061_WS23061_10
WS23061_WS23061_WS23061_12
WS23061_WS23061_WS23061_16
WS23061_WS23061_WS23061_18
WS23061_WS23061_WS23061_2
WS23061_WS23061_WS23061_21LK
WS23061_WS23061_WS23061_30
WS23061_WS23061_WS23061_31
WS23061_WS23061_WS23061_33
WS23061_WS23061_WS23061_41
WS23061_WS23061_WS23061_45
WS23061_WS23061_WS23061_47
WS23061_WS23061_WS23061_49
WS23061_WS23061_WS23061_51
WS23061_WS23061_WS23061_53
WS23061_WS23061_WS23061_54
WS23061_WS23061_WS23061_55
WS23061_WS23061_WS23061_56
WS23061_WS23061_WS23061_57
WS23061_WS23061_WS23061_57.1
WS23061_WS23061_WS23061_57.2
WS23061_WS23061_WS23061_57.3
WS23061_WS23061_WS23061_58
WS23061_WS23061_WS23061_60
WS23061_WS23061_WS23061_64
WS23061_WS23061_WS23061_65
WS23061_WS23061_WS23061_68
WS23061_WS23061_WS23061_7
WS23061_WS23061_WS23061_9
WS23061_WS23061_WS23061_9.5
WS23061_WS23061_WS23061_AMI1
WS23061_WS23061_WS23061_AMI2
WS23061_WS23061_WS23061_AMI3
WS23061_WS23061_WS23061_AMI4
WS23061_WS23061_WS23061_AMI5
WS23061_WS23061_WS23061_AMI6
WS23061_WS23061_WS23061_AMI7
WS23061_WS23061_WS23061_AMI8
WS23061_WS23061_WS23061_AMI9
WS23061_WS23061_WS23061_BG1
WS23061_WS23061_WS23061_BG2
WS23061_WS23061_WS23061_BG3
WS23061_WS23061_WS23061_BG4
WS23061_WS23061_WS23061_BG6
WS23061_WS23061_WS23061_BG7
WS23061_WS23061_WS23061_CAL1
WS23061_WS23061_WS23061_CAL2
WS23061_WS23061_WS23061_CAL3
WS23061_WS23061_WS23061_CAL4
WS23061_WS23061_WS23061_CAL5
WS23061_WS23061_WS23061_CAL6
WS23061_WS23061_WS23061_CW1
WS23061_WS23061_WS23061_CW2
WS23061_WS23061_WS23061_CW3
WS23061_WS23061_WS23061_CW4
WS23061_WS23061_WS23061_CW5
WS23061_WS23061_WS23061_CW6
WS23061_WS23061_WS23061_CW7
WS23061_WS23061_WS23061_GP5
WS23061_WS23061_WS23061_KW1
WS23061_WS23061_WS23061_KW2
WS23061_WS23061_WS23061_KW4
WS23061_WS23061_WS23061_L1
WS23061_WS23061_WS23061_L3
WS23061_WS23061_WS23061_L5
WS23061_WS23061_WS23061_L7
WS23061_WS23061_WS23061_L9
WS23061_WS23061_WS23061_MR
WS23061_WS23061_WS23061_ROME4
WS23061_WS23061_WS23061_ROME5
WS23061_WS23061_WS23061_RP1
WS23061_WS23061_WS23061_RP2
WS23061_WS23061_WS23061_RP3
WS23061_WS23061_WS23061_RP4
WS23061_WS23061_WS23061_TB1
WS23061_WS23061_WS23061_TB10
WS23061_WS23061_WS23061_TB2
WS23061_WS23061_WS23061_TB3
WS23061_WS23061_WS23061_TB4
WS23061_WS23061_WS23061_TB5
WS23061_WS23061_WS23061_V1
WS23061_WS23061_WS23061_V2
WS23061_WS23061_WS23061_V3
WS23061_WS23061_WS23061_V4
WS23061_WS23061_WS23061_V5
WS23061_WS23061_WS23061_V6
WS23061_WS23061_WS23061_V7
WS23061_WS23061_WS23061_V8
WS23061_WS23061_WS23061_V9
WS23061_WS23061_WS23061_WS
WS23203_WS23203_WS23203_10
WS23203_WS23203_WS23203_12
WS23203_WS23203_WS23203_16
WS23203_WS23203_WS23203_18
WS23203_WS23203_WS23203_2
WS23203_WS23203_WS23203_21LK
WS23203_WS23203_WS23203_30
WS23203_WS23203_WS23203_31
WS23203_WS23203_WS23203_33
WS23203_WS23203_WS23203_41
WS23203_WS23203_WS23203_45
WS23203_WS23203_WS23203_47
WS23203_WS23203_WS23203_49
WS23203_WS23203_WS23203_51
WS23203_WS23203_WS23203_53
WS23203_WS23203_WS23203_54
WS23203_WS23203_WS23203_55
WS23203_WS23203_WS23203_56
WS23203_WS23203_WS23203_57
WS23203_WS23203_WS23203_57.1
WS23203_WS23203_WS23203_57.2
WS23203_WS23203_WS23203_57.3
WS23203_WS23203_WS23203_58
WS23203_WS23203_WS23203_60
WS23203_WS23203_WS23203_64
WS23203_WS23203_WS23203_65
WS23203_WS23203_WS23203_68
WS23203_WS23203_WS23203_7
WS23203_WS23203_WS23203_9
WS23203_WS23203_WS23203_9.5
WS23203_WS23203_WS23203_AMI1
WS23203_WS23203_WS23203_AMI2
WS23203_WS23203_WS23203_AMI3
WS23203_WS23203_WS23203_AMI4
WS23203_WS23203_WS23203_AMI5
WS23203_WS23203_WS23203_AMI6
WS23203_WS23203_WS23203_AMI7
WS23203_WS23203_WS23203_AMI8
WS23203_WS23203_WS23203_AMI9
WS23203_WS23203_WS23203_BG1
WS23203_WS23203_WS23203_BG2
WS23203_WS23203_WS23203_BG3
WS23203_WS23203_WS23203_BG4
WS23203_WS23203_WS23203_BG6
WS23203_WS23203_WS23203_BG7
WS23203_WS23203_WS23203_CAL1
WS23203_WS23203_WS23203_CAL2
WS23203_WS23203_WS23203_CAL3
WS23203_WS23203_WS23203_CAL4
WS23203_WS23203_WS23203_CAL5
WS23203_WS23203_WS23203_CAL6
WS23203_WS23203_WS23203_CW1
WS23203_WS23203_WS23203_CW2
WS23203_WS23203_WS23203_CW3
WS23203_WS23203_WS23203_CW4
WS23203_WS23203_WS23203_CW5
WS23203_WS23203_WS23203_CW6
WS23203_WS23203_WS23203_CW7
WS23203_WS23203_WS23203_GP5
WS23203_WS23203_WS23203_KW1
WS23203_WS23203_WS23203_KW2
WS23203_WS23203_WS23203_KW4
WS23203_WS23203_WS23203_L1
WS23203_WS23203_WS23203_L3
WS23203_WS23203_WS23203_L5
WS23203_WS23203_WS23203_L7
WS23203_WS23203_WS23203_L9
WS23203_WS23203_WS23203_MR
WS23203_WS23203_WS23203_ROME4
WS23203_WS23203_WS23203_ROME5
WS23203_WS23203_WS23203_RP1
WS23203_WS23203_WS23203_RP2
WS23203_WS23203_WS23203_RP3
WS23203_WS23203_WS23203_RP4
WS23203_WS23203_WS23203_TB1
WS23203_WS23203_WS23203_TB10
WS23203_WS23203_WS23203_TB2
WS23203_WS23203_WS23203_TB3
WS23203_WS23203_WS23203_TB4
WS23203_WS23203_WS23203_TB5
WS23203_WS23203_WS23203_V1
WS23203_WS23203_WS23203_V2
WS23203_WS23203_WS23203_V3
WS23203_WS23203_WS23203_V4
WS23203_WS23203_WS23203_V5
WS23203_WS23203_WS23203_V6
WS23203_WS23203_WS23203_V7
WS23203_WS23203_WS23203_V8
WS23203_WS23203_WS23203_V9
WS23203_WS23203_WS23203_WS
WS24139_WS24139_WS24139_10
WS24139_WS24139_WS24139_12
WS24139_WS24139_WS24139_16
WS24139_WS24139_WS24139_18
WS24139_WS24139_WS24139_2
WS24139_WS24139_WS24139_21LK
WS24139_WS24139_WS24139_30
WS24139_WS24139_WS24139_31
WS24139_WS24139_WS24139_33
WS24139_WS24139_WS24139_41
WS24139_WS24139_WS24139_45
WS24139_WS24139_WS24139_47
WS24139_WS24139_WS24139_49
WS24139_WS24139_WS24139_51
WS24139_WS24139_WS24139_53
WS24139_WS24139_WS24139_54
WS24139_WS24139_WS24139_55
WS24139_WS24139_WS24139_56
WS24139_WS24139_WS24139_57
WS24139_WS24139_WS24139_57.1
WS24139_WS24139_WS24139_57.2
WS24139_WS24139_WS24139_57.3
WS24139_WS24139_WS24139_58
WS24139_WS24139_WS24139_60
WS24139_WS24139_WS24139_64
WS24139_WS24139_WS24139_65
WS24139_WS24139_WS24139_68
WS24139_WS24139_WS24139_7
WS24139_WS24139_WS24139_9
WS24139_WS24139_WS24139_9.5
WS24139_WS24139_WS24139_AMI1
WS24139_WS24139_WS24139_AMI2
WS24139_WS24139_WS24139_AMI3
WS24139_WS24139_WS24139_AMI4
WS24139_WS24139_WS24139_AMI5
WS24139_WS24139_WS24139_AMI6
WS24139_WS24139_WS24139_AMI7
WS24139_WS24139_WS24139_AMI8
WS24139_WS24139_WS24139_AMI9
WS24139_WS24139_WS24139_BG1
WS24139_WS24139_WS24139_BG2
WS24139_WS24139_WS24139_BG3
WS24139_WS24139_WS24139_BG4
WS24139_WS24139_WS24139_BG6
WS24139_WS24139_WS24139_BG7
WS24139_WS24139_WS24139_CAL1
WS24139_WS24139_WS24139_CAL2
WS24139_WS24139_WS24139_CAL3
WS24139_WS24139_WS24139_CAL4
WS24139_WS24139_WS24139_CAL5
WS24139_WS24139_WS24139_CAL6
WS24139_WS24139_WS24139_CW1
WS24139_WS24139_WS24139_CW2
WS24139_WS24139_WS24139_CW3
WS24139_WS24139_WS24139_CW4
WS24139_WS24139_WS24139_CW5
WS24139_WS24139_WS24139_CW6
WS24139_WS24139_WS24139_CW7
WS24139_WS24139_WS24139_GP5
WS24139_WS24139_WS24139_KW1
WS24139_WS24139_WS24139_KW2
WS24139_WS24139_WS24139_KW4
WS24139_WS24139_WS24139_L1
WS24139_WS24139_WS24139_L3
WS24139_WS24139_WS24139_L5
WS24139_WS24139_WS24139_L7
WS24139_WS24139_WS24139_L9
WS24139_WS24139_WS24139_MR
WS24139_WS24139_WS24139_ROME4
WS24139_WS24139_WS24139_ROME5
WS24139_WS24139_WS24139_RP1
WS24139_WS24139_WS24139_RP2
WS24139_WS24139_WS24139_RP3
WS24139_WS24139_WS24139_RP4
WS24139_WS24139_WS24139_TB1
WS24139_WS24139_WS24139_TB10
WS24139_WS24139_WS24139_TB2
WS24139_WS24139_WS24139_TB3
WS24139_WS24139_WS24139_TB4
WS24139_WS24139_WS24139_TB5
WS24139_WS24139_WS24139_V1
WS24139_WS24139_WS24139_V2
WS24139_WS24139_WS24139_V3
WS24139_WS24139_WS24139_V4
WS24139_WS24139_WS24139_V5
WS24139_WS24139_WS24139_V6
WS24139_WS24139_WS24139_V7
WS24139_WS24139_WS24139_V8
WS24139_WS24139_WS24139_V9
WS24139_WS24139_WS24139_WS
No matching items